Skip to main content

A Monetary and Fiscal History of Latin America, 1960–2017: The History of Ecuador

A Monetary and Fiscal History of Latin America, 1960–2017
The History of Ecuador
  • Show the following:

    Annotations
    Resources
  • Adjust appearance:

    Font
    Font style
    Color Scheme
    Light
    Dark
    Annotation contrast
    Low
    High
    Margins
  • Search within:
    • Notifications
    • Privacy
  • Project HomeA Monetary and Fiscal History of Latin America, 1960–2017
  • Learn more about Manifold

Notes

table of contents
  1. Cover
  2. Title Page
  3. Copyright Page
  4. Contents
  5. Foreword
  6. Acknowledgments
  7. Detecting Fiscal-Monetary Causes of Inflation
  8. A Framework for Studying the Monetary and Fiscal History of Latin America
  9. Argentina
    1. The History of Argentina
      1. Discussion of the History of Argentina 1
      2. Discussion of the History of Argentina 2
  10. Bolivia
    1. The History of Bolivia
      1. Discussion of the History of Bolivia
  11. Brazil
    1. The History of Brazil
      1. Discussion of the History of Brazil 1
      2. Discussion of the History of Brazil 2
  12. Chile
    1. The History of Chile
      1. Discussion of the History of Chile
  13. Colombia
    1. The History of Colombia
      1. Discussion of the History of Colombia
  14. Ecuador
    1. The History of Ecuador
      1. Discussion of the History of Ecuador
  15. Mexico
    1. The History of Mexico
      1. Discussion of the History of Mexico
  16. Paraguay
    1. The History of Paraguay
      1. Discussion of the History of Paraguay 1
      2. Discussion of the History of Paraguay 2
  17. Peru
    1. The History of Peru
      1. Discussion of the History of Peru 1
      2. Discussion of the History of Peru 2
  18. Uruguay
    1. The History of Uruguay
      1. Discussion of the History of Uruguay 1
      2. Discussion of the History of Uruguay 2
  19. Venezuela
    1. The History of Venezuela
      1. Discussion of the History of Venezuela 1
      2. Discussion of the History of Venezuela 2
  20. Lessons from the Monetary and Fiscal History of Latin America
  21. Contributors

The History of Ecuador

Simón Cueva

TNK Economics Ecuador and Laureate International Universities

Julián P. Díaz

Department of Economics, Quinlan School of Business, Loyola University Chicago

Major fiscal and monetary events, 1960–2017

1971

Hydrocarbons law declares oil state property

1982

Devaluation and crawling peg

1983

Conversion of private foreign debt to sucres

1987

Default

1988

Tax reform

1992

Law granting central bank independence

Devaluation and fixed exchange rate to tackle inflation

1994

Financial sector liberalization

Foreign debt restructuring (Brady Plan)

1998

New constitution granting central bank independence

1999

Bank deposits frozen

Nationalization of banking system

Default on Brady bonds

2000

Dollarization

Oil stabilization fund to promote government savings

Restructuring of foreign commercial debt

2002

Fiscal responsibility law

2008

Suppression of central bank independence and fiscal stabilization funds

2014

Return to international financial markets

Introduction

The recent economic history of Ecuador is marked by two crucial events. The first is the discovery of oil reserves in the late 1960s, which transformed the Ecuadorian economy from agrarian to oil-exporting (oil exports started in 1972). This shift produced a boom that lasted for almost a decade, with output growing at an average rate of nearly 9 percent between 1972 and 1981. More importantly, it radically changed the role of the government in the economy. Indeed, prior to 1972, the government (measured as the outlays of the central government) represented less than 10 percent of output. With oil as a new source of revenue, the size of the government doubled and has essentially remained at those high levels ever since, despite the large fluctuations in oil prices. The second event was the government’s decision to officially dollarize the economy in 2000. The adoption of the U.S. dollar as legal tender ended a period of chronically high inflation that had lasted for almost three decades and has produced an environment of one-digit inflation since 2003.

Those two events in turn define three broad economic eras, as displayed in Figures 1 and 2. The first period, which goes from 1960—the initial year in our study—until the end of the oil boom in 1981, was characterized by rapid growth and low inflation. Prior to the oil boom, the country had been growing at an average rate of nearly 5 percent per year (and roughly 2 percent in per capita terms). The oil boom provided a further boost to the economy, and output per capita surged well above the 2 percent per year growth trend. Furthermore, inflation was low, averaging 8.6 percent per year during the 1960–81 period (and only 4.9 percent if the oil boom period is excluded). While the boost to the economy from the oil boom led to an increase in the inflation rate, which averaged 12.9 percent between 1972 and 1981, that value was not very different from the one registered in the United States during the highly inflationary 1970s.

The second era includes the two “lost decades” of the Ecuadorian economy, and it extends from the onset of the Latin American debt crisis in 1982 to the end of the twentieth century. This period is characterized by a stagnant economy, with an average GDP growth rate of only 1.9 percent per year (−0.5 percent in per capita terms). In fact, Ecuador’s growth during this period was so dismal that it satisfies the definition of a “great depression” as described in Kehoe and Prescott (2007).1 During this period, output per capita sank increasingly below the 2 percent trend, and by 1999 it was lower than in 1982. In addition to this poor economic performance, persistently high inflation became a trait of the Ecuadorian economy, averaging 39 percent per year between 1982 and 1999. While many countries in Latin America, such as Argentina, Bolivia, Brazil, or Peru, also suffered periods of high inflation—and even hyperinflation—during the 1970s and 1980s, by the 1990s those same countries had been able to restrain the rate of inflation. In Ecuador, however, it remained high—well in the two-digit range.

Figure 1. GDP per capita and 2 percent trend, 2010 US$, log scale

Figure 2. Inflation rate, percent

The third period is the dollarized era, which started in January 2000. Aided by a second oil boom fueled by historically high oil prices, the Ecuadorian economy started growing again, expanding at an average rate of 3.7 percent between 2000 and 2017. Output per capita experienced a noticeable recovery, although it has still not returned to the 2 percent trend. Perhaps more remarkably, it was only after dollarizing the economy that inflation fell back to the one-digit levels observed during the 1960–81 period. The fact that it was possible to attain a low inflationary environment only after Ecuador renounced its monetary independence is reminiscent of the findings in Sargent (1993), who documents how Austria, Germany, Hungary, and Poland were able to end their inflationary episodes during the 1920s only after they introduced significant policy regime changes in their governments’ behavior.

Thus, broadly speaking, the economic history of Ecuador since 1960 can be summarized as nearly two decades of stagnation and chronically high inflation wedged between two periods of relative normality. Why did the Ecuadorian economy perform so poorly during the 1980s and 1990s? A common explanation for slow growth and price instability has been to attribute those undesirable outcomes to bad fiscal and monetary policies. To shed light on those linkages, we document the most salient features of the monetary and fiscal history of Ecuador during the 1960–2017 period and complement this review with a government budget constraint accounting exercise that follows Sargent (1993) in order to assess whether government deficits were financed with seigniorage revenues—instead of borrowing, for example—and consequently led to inflation.

As a preview to our findings, we present a summary of the government budget constraint accounting exercise in Table 1, which depicts the central government’s obligations during the three periods and the different sources used to finance them (we have broken the first period into two parts in order to isolate the effects of the oil boom).2

Our analysis suggests that inadequate government policies indeed contributed to the disappointing performance of the Ecuadorian economy. According to the budget constraint accounting results, during the 1960–71 period, when the size of the government was relatively small, deficit financing needs were low as well, and the use of seigniorage was limited: seigniorage revenues during this era were the lowest for the entire period under analysis. These patterns coincide with a period of higher-than-average growth and low inflation.

The oil boom of the 1970s changed those trends and led to a disproportionate increase in the size of the government and a surge in government deficits, as shown in Figure 3. In particular, the massive increase in the size of the government fueled by the oil boom was not accompanied by the creation of any substantial savings fund. This left the government’s accounts vulnerable to unexpected declines in oil prices. When crude prices eventually stopped surging in the late 1970s, the government intensified its external borrowing to sustain its inflated spending patterns—amassing a large amount of debt in the process—instead of implementing a fiscal adjustment. The credit crunch derived from the Latin American debt crisis of the early 1980s in turn rendered that strategy unfeasible, but yet again there was no significant fiscal correction. The remarkable downward inflexibility of government expenditures, in spite of a series of negative shocks—severe weather phenomena, banking crises, and oil price collapses—resulted in large fiscal imbalances, which by then included the additional burden of the debt. To finance the deficits, the government relied on seigniorage, and inflation ensued. The lack of any substantial and lasting fiscal adjustment continued through the 1990s. High inflation became entrenched, and the economy stagnated. Inflation only returned to low levels when the discretion to finance the deficits using seigniorage was removed by the establishment of the dollarization system.

Table 1. Central government budget accounting results, 1960–2017 (percentage of GDP)

Sources of central government financing

Period

Domestic debt

Foreign debt

Money issuing

Seigniorage

Assets in Central Bank

Total

1960–81

0.08

1.39

−0.03

1.40

−0.32

2.52

1960–71 (pre-oil)

1.26

0.38

0.14

0.85

−0.19

2.44

1972–81 (oil boom)

−1.34

2.60

−0.23

2.05

−0.48

2.61

1982–99

1.79

0.64

−0.02

1.82

−0.68

3.56

2000–2017

−0.08

−0.90

−0.17

−1.16

Central government obligations

Period

Domestic return

Foreign return

Primary deficit

“Transfers”

Total

1960–81

0.64

0.89

0.60

0.39

2.52

1960–71 (pre-oil)

0.68

0.45

0.46

0.85

2.44

1972–81 (oil boom)

0.59

1.43

0.75

−0.15

2.61

1982–99

0.69

4.20

−2.47

1.13

3.56

2000–2017

0.59

1.31

0.31

−3.36

−1.16

Figure 3. Central government deficit, percentage of GDP

After the devastating financial crisis of 1999, the dollarization regime presented a second chance for the adoption of sounder government policies—and the abandonment of failed ones. Indeed, the size of the government briefly contracted during the early years of the 2000s, and fiscal responsibility laws were passed to ensure the long-term sustainability of the dollarization system. The resulting smaller deficits can easily be appreciated in Figure 3. However, this trend reverted after 2007, when government expenditures rose sharply again—aided by historically high oil prices—and reached levels similar to the ones observed during the oil boom of the 1970s. The windfall generated by the second oil boom, however, was not sufficient to produce balanced budgets, and the deficit surged again. Since the dollarization arrangement eliminated the ability of the government to turn to seigniorage to satisfy its obligations, the government has had to increase its indebtedness—both domestic and foreign—to cover its financing needs. Thus, in spite of large deficits, inflation has remained low during the dollarization era because the government cannot finance its expenditures with the inflation tax. However, the cycle of a boom in oil prices followed by a steep surge in government spending and a rapid rise in government borrowing (at increasingly onerous terms) is evocative of the policies followed during the 1970s and of their painful consequences. This in turn has raised concerns about the long-term sustainability of the dollarization scheme.

Finally, the budget constraint accounting analysis shows that primary deficits, at least as explicitly reported in Ecuadorian statistics, explain a portion but not the complete picture of the government’s financing needs. In fact, “extraordinary transfers,” as defined in “A Framework for Studying the Monetary and Fiscal History of Latin America,” account for a significant fraction of the government’s obligations. These transfers represent financing needs beyond primary deficits—not explicitly recorded in the officially reported fiscal figures—and reveal the untold story of hidden fiscal costs. Indeed, we find that transfers were especially large and positive during the most arduous periods of Ecuador’s economic history, such as when the government decided to take over the private sector’s foreign debt (thus assuming the exchange rate risk) in the 1980s, or when the government bailed out the banking system during the financial crisis of 1999. In that sense, the large extraordinary transfers reflect the consequences of the government’s own mistakes, as well as the mistakes of others (e.g., the private sector), which eventually ended up becoming the government’s responsibility.

The remainder of this study is organized as follows. In the second section, we provide a review of the most important facts of Ecuadorian macroeconomic history from 1960 to 2017. The third section reviews the main patterns of fiscal policy, and the fourth analyzes the evolution of government debt. The fifth section documents the main trends in monetary aggregates. In the sixth section, we present the budget constraint accounting methodology, discuss its results for the Ecuadorian case, and assess the role of the extraordinary transfers. Our conclusions appear in the seventh section.

The Three Eras of Ecuadorian Economic History

In this section, we document the most salient facts in Ecuadorian economic history for the period 1960 to 2017. We divide our analysis into the three aforementioned periods: 1960–81, the transition from the pre-oil economy to the oil boom of the 1970s; 1982–99, the two “lost decades”; and 2000–2017, the dollarized era. Additionally, we break down these periods into shorter subperiods because of the diverse approaches to economic policy adopted by the different governments.3

Growth and the Oil Boom, 1960–81

The Pre-oil Economy, 1960–71

Prior to the discovery of its oil reserves in the late 1960s, Ecuador was primarily an agricultural economy with a small industrial sector. Exports, which averaged 16 percent of GDP during the 1960–71 period, were clustered around a handful of agricultural commodities, out of which bananas—the main export product—accounted for nearly 40 percent of total exports.

During this era, the government played a relatively small role in the economy. The revenues of the central government amounted to 10 percent of GDP. Of those, nearly 90 percent corresponded to taxes, with tariffs and export taxes accounting for over 40 percent of total revenues. However, in spite of their importance, the inability of the government to efficiently collect taxes limited its participation in the overall economy. On the other hand, the outlays of the central government represented, on average, 11.4 percent of GDP. Wages and salaries accounted for 42 percent of total expenditures, and purchases of goods and services claimed nearly another 30 percent. Taking into account revenues and outlays, the central government ran an average deficit of 1.4 percent of GDP between 1960 and 1971. This average is somewhat inflated because of the deficit in 1971 of 4.9 percent of GDP, when the government significantly increased its expenditures in anticipation of the oil revenues that it would be earning the following year. Excluding that year, deficits were even smaller, averaging 1 percent of GDP.

Throughout this period, the Central Bank of Ecuador—which had been founded in 1927—operated according to the Ley de Régimen Monetario (LRM, or Law of Monetary Regime) of 1948. The significant fluctuations in the stock of international reserves experienced during this period from the volatility in Ecuador’s export prices required the central bank to routinely implement policies such as advanced deposit requirements for imports and import restrictions on selected products to contain the loss of reserves and preserve the stability of the exchange rate.4

The LRM of 1948 also required the central bank to “adapt the liquidity in the economy and the volume of credit to promote the growth of national output” and to “prevent and moderate inflationary or deflationary trends.” To attain these objectives, the tool most commonly used by the monetary authority was to change the reserve requirement ratios. Similarly, to expand the money supply and to promote growth in industries deemed as important, the central bank would provide loans to both private banks and the private sector. The law also allowed the government to borrow from the central bank to finance its operations. In principle, the government would receive an advance from the central bank at the beginning of the year, which would be repaid during the remaining months.

In spite of the reliance of the Ecuadorian economy on just a few agricultural products and an incipient industrial base, output (measured in sucres) grew at an average annual rate of 4.7 percent, although strong population growth implied a per capita average rate close to 2 percent. Moreover, inflation was notably low—in particular when compared to the rates observed in the following decades—and averaged 4.9 percent per year.

The Oil Boom, 1972–81

Sizable oil reserves were discovered in the Amazon region in the late 1960s, which enabled Ecuador to start oil exports in 1972. This event radically transformed the Ecuadorian economy, with oil quickly becoming its main export product, accounting for over half of total exports between 1972 and 1981. This event changed not only the composition of exports but also their importance in the overall economy, and during this period, exports represented nearly 25 percent of total output. Moreover, the timing of the discovery of oil occurred at a crucial moment for the Ecuadorian economy. The world price of bananas had been dwindling since the mid-1960s. At the same time, the oil price—which had averaged US$3 per barrel (dpb) during the 1960s and early 1970s—started to consistently increase in 1973 until it reached 37 dpb in 1980, before dipping slightly to 36.7 dpb in 1981.5

The oil boom provided a boost for the Ecuadorian economy, and GDP (measured in sucres) grew at an average yearly rate of 8.8 percent (and nearly 6 percent in per capita terms). In 1973 alone, output grew at an impressive rate of 25 percent. Growth rates, however, declined over the period, and in 1981 the economy expanded at only a 3.9 percent pace.

The bonanza period coincided with a series of military regimes that ruled the country from 1972 until 1979; these regimes used the oil windfall to redefine the role of the state, making it an active participant in the economy and the leader of the development process. Indeed, the revenues of the central government averaged almost 21 percent of GDP during the 1972–81 period—more than doubling the corresponding value from the previous period—with oil revenues accounting for nearly a third of the revenues (tax revenues represented 44 percent of total revenues on average during the same span). The rise in total expenditures was even more pronounced, averaging 23 percent of GDP during the period. Those expenditures corresponded mainly to public-sector wages (42 percent of total revenues), purchases of goods and services (26 percent), and capital expenditures (17 percent), mainly in large infrastructure projects such as highway and hydroelectric plant construction.

The considerable increase in revenues was not sufficient to finance the expenditure expansion. As a result, the central government posted deficits in each year between 1972 and 1981 (with the exception of 1974). The average deficit during this period was 2 percent of GDP, more than twice as large as the deficits recorded during the previous period. The government, however, was able to finance the deficits relatively easily. Favorable conditions characterized by abundant liquidity in the international financial markets and very low interest rates allowed the government to fund the deficits by increasing its foreign indebtedness. Indeed, the public foreign debt went from $248 million in 1971 to $4.416 million by the end of 1981; that is, it grew by a factor of almost 18. As a percentage of GDP (measured in dollars), the public foreign debt increased from 9 percent to 20.2 percent of GDP during the same period.

The oil boom brought about another change in the Ecuadorian economy: the emergence of inflation, which averaged 13.2 percent per year between 1972 and 1981. Some Ecuadorian analysts attributed the increase in the inflation rate to the sudden increase in the demand for goods and services caused by the new oil wealth (a shift to the right in the aggregate demand curve, according to policy makers), which could not be matched by a commensurate increase in aggregate output. However, this was also a period marked by rapid growth in the monetary aggregates. The monetary base grew at an average annual rate of 21.9 percent between 1972 and 1981, while the annual average growth of M1 was 23.7 percent, much faster rates than the ones observed during the previous period (9.1 percent and 9.7 percent, respectively). Especially during the early part of the oil boom era, the increase in international reserves was the main contributor to the increase in the monetary base. The central bank tried to contain the expansion in the monetary aggregates by restricting the net domestic credit, more specifically the net credit to the public sector. In addition to the use of changes in the reserve requirement ratio, for the first time since its foundation, the central bank started conducting open market operations by issuing bonos de estabilización monetaria (BEMs, or monetary stabilization bonds) in order to withdraw liquidity from the economy. Additionally, the central bank imposed limits on the expansion of private bank lending and, to ease the pressure on prices, relaxed the restrictions on imports.

The Ecuadorian Great Depression, 1982–99

The Debt Crisis and the End of the “Golden Years,” 1982–83

The favorable conditions enjoyed by the Ecuadorian economy during the 1970s would not last indefinitely. The growth in oil prices stagnated in 1981 and started a continuous decline throughout the remainder of the decade, falling from an average price of 36.7 dpb in 1981 to 19.6 dpb in 1989 (69.7 dpb to 31.3 dpb in 2010 dollars). Interest rates, which had been low—and even negative in real terms in some instances—started rising in 1981 as a reflection of the policies implemented by the Federal Reserve. Eventually, this would lead to the decision of the Mexican government to default on its external debt, which triggered a freeze on new loans to all countries in the region. This decision was particularly painful for the Ecuadorian government, which had been borrowing heavily from abroad to finance its expenditures.

On the domestic front, a border war with Peru in 1981 created an additional burden on the fiscal accounts and spread uncertainty and panic in the economy. Moreover, severe floods caused by the El Niño weather phenomenon in 1982 and 1983 destroyed agricultural crops, thus hurting primary exports, and destroyed the country’s infrastructure, compounding the fiscal difficulties.

Facing this complicated scenario, in 1982 the government implemented a stabilization program that increased fuel and utility prices, eliminated subsidies, and cut expenditures. This adjustment plan—and the plans that would end up being put into practice during this decade—were part of the requirements in exchange for standby loans and foreign debt restructuring demanded by the International Monetary Fund and other multilateral organizations, which, because of the freeze in lending from private lenders, had become the only source of borrowing for the Ecuadorian government. In spite of these measures, the central government ran deficits averaging 2.6 percent of GDP in 1982 and 1983.

Additionally, the official exchange rate—which had been fixed since 1970—was depreciated from 25 to 33 sucres per dollar in May 1982. This decision was complemented with a scheme of daily minidevaluaciones (crawling peg) in 1983. These depreciations had multiple objectives: one was to correct the real appreciation of the sucre due to the prolonged fixed exchange rate coupled with persistently high inflation since the 1970s; another was to provide the government with more sucres per barrel of oil exported; and finally, they also were aimed at discouraging imports due to the necessity to generate current account surpluses.

The depreciations, however, severely hurt the private sector, which, like the government, had increased its foreign borrowing during the 1970s, encouraged by a fixed exchange rate regime in place since 1970, low inflation, and the abundance of liquidity in the international markets. Indeed, while at the end of 1971 the total private foreign debt amounted to barely $13 million, by the end of 1982, it had skyrocketed to $1,628 million. Fearing generalized bankruptcies and an eventual financial collapse, the government decided to implement the so-called sucretización mechanism of the private foreign debt. According to this arrangement, private foreign debt was converted into sucres and was to be paid to the central bank, which in turn assumed the responsibility to pay foreign creditors in dollars. As a result, by the end of 1984 the stock of private foreign debt fell to $227 million, with most of the reduction becoming public foreign debt. This decision proved to be extremely controversial and was labeled as a subsidy to private businesses. On the other hand, the authorities defended it, arguing that in the absence of such measures a financial crisis would have been inevitable.

All in all, output grew by only 1.2 percent in 1982 and contracted by 2.8 percent in 1983 (−1.3 percent and −5.2 percent in per capita terms, respectively). Inflation—fueled by the sucre depreciation, which made imported goods more expensive; the shortage of agricultural products due to El Niño; and rapid monetary aggregates growth—jumped to 16.3 percent in 1982 and 48.3 percent in 1983.

Two Approaches at Managing the Crisis: Economic Liberalization (1984–88) and Gradualism (1989–92)

León Febres Cordero took office in August 1984. His administration brought about a change in economic policy, promoting the implementation of market-oriented reforms, reducing the role of the state in the economy in favor of the private sector, eliminating price controls, and favoring private investment.

This term was marked by two distinct stages. The first half was characterized by economic growth. In 1985—the first full year of the administration—output expanded at a rate of 4.3 percent in 1985, in line with the growth rate of 4.2 percent observed in 1984. In 1986, output advanced further by 3.1 percent. The growth in 1985 was aided by an increase in oil prices, which pushed total revenues of the central government to reach nearly 25 percent of GDP—with oil revenues accounting for approximately half of the revenues—and to generate a surplus of 2.4 percent of GDP. Instead, the growth in 1986 occurred despite falling oil prices, which reduced the revenues of the central government to 19.7 percent of GDP and led to a deficit of 2.2 percent of GDP. During this first phase, the inflation rate declined to 28 percent by the end of 1985 (compared to 31 percent in 1984) and to 23 percent a year later. M1 also displayed slower growth, expanding by 24 percent in 1985 and 20 percent in 1986.

Despite its preferences for liberal economic policies, some of the government’s actions seemed to contradict those beliefs. For example, in 1984 the government decided to extend for seven additional years the time limits granted to private businesses to repay their obligations to the central bank under the sucretización mechanism and to relax some of its terms. This was again criticized as a massive subsidy to the private sector.6 Similarly, the expenditures of the central government increased, despite the desire of policy makers for a diminished role for the government in the economy.

The favorable environment observed during the first two years of this administration changed during the second half. Oil prices had started falling in late 1985 and by 1986 had reached one-digit levels, with a corresponding impact on the government’s finances (oil revenues fell from 12.5 percent of GDP in 1985 to 6.5 percent in 1986). However, the most severe blow to the economy was dealt by the earthquake of March 1987. This earthquake destroyed the only oil pipeline in Ecuador and stopped oil exports for almost six months. The deficit of the central government reached 3.4 percent of GDP in 1987—the largest since 1982—and the economy contracted by 6 percent during that year. The government, facing such a critical situation, decided to suspend its external debt service. After that, Ecuador started accumulating significant arrears on its foreign obligations. In fact, the fiscal prudence exhibited during the first years of the administration was abandoned, and expenditures increased because of the upcoming presidential election of 1988.

Similarly, the relatively orderly monetary growth observed during the first half of the administration was completely abandoned during the second half. M1 grew by 32 percent in 1987 and 54 percent in 1988. While the central bank contracted its net credit to the financial and private sectors, it expanded its net lending to the public sector. Inflation, which had been on a declining path during the first subperiod, started rising again, closing at 30 percent in 1987 and 58 percent in 1988.

The new government, headed by Rodrigo Borja, faced a difficult situation at the beginning of its term in August 1988, with the largest contraction in output in recent history during the previous year, the fiscal accounts in deficit, negative international reserves, and disorderly money growth. In light of this scenario, the authorities implemented an emergency austerity plan—which included expenditure cuts, increases in fuel prices, and the suspension of net lending from the central bank to the government—aimed at reducing the deficit. Moreover, a tax reform was approved in late 1988, aimed at simplifying the tax structure and focusing tax collection on three sources: the income tax, the excise tax, and a newly created value-added tax (VAT). The establishment of the VAT proved to be of critical importance, as it eventually would go on to become the main source of tax revenue for the government. The government also embarked on a policy of reopening the economy by removing quantitative restrictions to foreign trade and consolidating the tariff schedule around three rates.

In order to tackle the high rate of inflation, the government introduced a crawling peg for the exchange rate, which had been allowed to float during the last years of the previous administration. The crawling peg had the objective of guiding inflation expectations and driving the inflation rate down to 30 percent.7 By then, the use of the exchange rate as a nominal anchor had become firmly established. The crawling peg arrangement, however, was never successful at reducing the inflation rate, which averaged 54 percent during the second year of the administration and 48 percent and 49 percent during the third and last years, respectively. Ecuador had become a country characterized by chronic inflation. Morillo (1996) attributes the failure of the gradualist approach to policy makers’ inability to fully convince economic agents that they had macroeconomic management under control.

The fiscal position improved during the years 1990 and 1991, in part aided by an increase in oil prices due to the Gulf War. The increase in oil prices also helped revert the negative balance in the stock of international reserves, which became positive again during this administration. In turn, the accumulation of reserves led to increases in the monetary base, which the central bank tried to offset by restricting its net lending.

On the institutional side, in May 1992 a new Ley de Régimen Monetario (LRM) was passed. The new law conferred autonomy to the central bank—although some members of the monetary board were still appointed by the executive8—allowing it to conduct monetary policy to maintain price stability. In order to attain its objective, the central bank implemented its policies through money desk (mesa de dinero) and foreign exchange desk (mesa de cambios) interventions, in addition to conducting open market operations by issuing BEMs. Finally, the new legislation prohibited the central bank from lending to the government.

Orthodox Management of the Economy, 1992–96

In August 1992, Sixto Durán Ballén was sworn in as president. His administration’s approach to macroeconomic management represented—yet again—a significant departure from that of the previous government and sought a smaller role of the state in the economy, fiscal discipline, a strengthening of the level of international reserves, and a decrease in inflation.

Briefly after taking office, the authorities decided to tackle the inflationary process by abandoning the crawling peg that had been set up by the previous administration and implementing a 35 percent depreciation of the sucre, with the commitment to keep the exchange rate fixed for a considerable time period. Despite the spike in the inflation rate following the depreciation, the government’s policies proved successful, and the inflation rate dropped to 45 percent by the end of 1993 and 27 percent a year later—the lowest since 1986. Moreover, even though the price of oil had declined (relative to the levels observed in 1990 and 1991), the central government also posted surpluses in 1993 and 1994, with tax revenues accounting for a similar share in total revenues as oil revenues.

In 1994, the government approved a new banking law that liberalized the financial sector—including the establishment of foreign banks—and allowed banks to issue checking and savings accounts in dollars. Moreover, also in 1994, the government finalized a Brady agreement that restructured its foreign debt, which it had defaulted on in 1987. Since then, it had grown from nearly $9 billion to reach $13 billion in 1993 (or approximately 70 percent of GDP when measured in dollars), with most of the growth from the accumulation of arrears. The agreement—which normalized relations with Ecuador’s foreign lenders—reduced the face value of the outstanding debt, increased its maturity, and, depending on the instrument, reduced the interest rates on the new debt.

The apparently promising path that the Ecuadorian economy had embarked on—output had grown by 2 percent in 1993 and 4.3 percent in 1994—suffered a major setback in 1995. A combination of negative shocks, including another war with Peru—which caused central government expenditures to increase from 19 percent to 23 percent of GDP between 1994 and 1995 to finance the purchases of military equipment—and a prolonged drought that led to electricity shortages and blackouts, significantly affected the economy and highlighted its vulnerability to external shocks. The central government posted a deficit of 1.6 percent of GDP, and the economy all but stagnated during the year. The uncertainty created by the war led to significant losses of reserves. Moreover, in order to defend the exchange rate—the fixed exchange arrangement had been replaced with a crawling band system with upper and lower bounds in December 1994—the government had to intervene through foreign exchange desk operations and by increasing interest rates until it was eventually forced to widen the range of fluctuations allowed for the exchange rate. On top of this delicate situation, Vice President Alberto Dahik—who was in charge of the administration’s economic policy design—was charged with embezzlement in late 1995 and fled the country, thus deepening the feeling of uncertainty among economic agents.

Political Instability, External Shocks, and Financial Crisis, 1996–99

The second half of the 1990s saw an increase in political instability, with the two presidents elected during this period unable to conclude their terms. Indeed, between 1996 and 2007, Ecuador had seven presidents, five of whom were not able to finish their terms.

To tackle inflation, Abdalá Bucaram—elected in 1996—proposed to establish a currency board similar to the one in place in Argentina at the time. The currency board was supposed to start operating around July 1997, when the nominal exchange rate was expected to reach 4,000 sucres per dollar. In the meantime, however, Bucaram was removed from office after being declared mentally unfit by Congress in February 1997, and the currency board project was abandoned.

Between 1997 and 1998, Ecuador was affected by another harsh El Niño phenomenon, which, as in 1982–83, severely affected the agricultural sector and destroyed a significant portion of the country’s infrastructure. This event coincided with a period of low oil prices, which drove down oil revenues to 4.6 percent of GDP in 1998. The combined effect of these negative shocks was clearly visible on the fiscal accounts, and the central government recorded deficits amounting to 2.3 percent and 2.7 percent of GDP in 1997 and 1998.

In August 1998, a new constitution was enacted. The institutional changes within it included granting the central bank technical and administrative autonomy from the government at the constitutional level. For the first time in its history, the constitution also defined price stability as the only objective of the monetary authority and prohibited it from lending to the government and financial institutions, except “in unavoidable cases to avoid liquidity issues.” Additionally, the monetary board was replaced by a central bank board, composed of five members appointed by the president and confirmed by Congress.

GDP grew by only 0.4 percent in 1998, and the inflation rate had risen to 43 percent by the end of that year. More disturbingly, banks started exhibiting signs of distress and fragility, which would eventually turn into the worst financial crisis in Ecuador’s history. Initially, the problems of the financial system were attributed to the inability of borrowers to repay banks because of the consequences of the El Niño phenomenon. However, authors such as de la Torre, García-Saltos, and Mascaró (2001) and Jácome (2004) identified serious flaws in the banking law of 1994—such as deficient banking supervision (in particular of offshore activities), the lack of adequate instruments to deal with bank failure resolution, and moral hazard derived from unlimited deposit insurance—as the main culprits of the crisis, combined with currency mismatch in the bank balances and fraudulent practices by bank owners. To avoid a financial meltdown, the central bank was forced to act as a lender of last resort. Net lending to the financial sector ballooned, and the monetary aggregates skyrocketed; the monetary base and M1 expanded by 137 percent and 90 percent in 1999, respectively. Moreover, the deposit insurance agency had only been created right before the onset of the crisis. Lacking resources, the agency had to issue bonds that in turn were purchased by the central bank, and it used those funds to repay depositors. This led to a massive increase in the government’s domestic indebtedness.

By the end of the century, Ecuador was in the midst of the worst economic crisis of its history. Output contracted by 7 percent in 1999. Nearly half of the banks either shut down or were nationalized. A yearlong deposit freeze was decreed in March 1999. The deficit of the central government reached 4.9 percent of GDP, and the government decided it would not pay a tranche of its Brady bonds, thus triggering a default just five years after having restructured its debt. The fluctuation range for the exchange rate had been widened, and eventually the sucre was allowed to float freely, depreciating by 180 percent over the course of the year. Finally, inflation reached 67 percent by the end of 1999, with the distinct possibility of a hyperinflation looming on the horizon.

Dollarization, 2000–2017

The Initial Years, 2000–2006

With output collapsing, inflation rising rapidly, and the exchange rate plummeting, President Jamil Mahuad announced the adoption of the dollar in January 2000, thus officially dollarizing the economy. The exchange rate for the conversion of sucres to dollars was set at 25,000 sucres per dollar to ensure that the central bank possessed a sufficiently high level of reserves to implement the swap of currencies.

The decision to dollarize was received with widespread opposition—even from within the central bank—and the protests and social unrest that followed forced the resignation of Mahuad just two weeks after the dollarization announcement. In spite of this negative environment, Mahuad’s successor, Gustavo Noboa, confirmed the dollarization process, and before the end of the year, the new monetary arrangement had been fully implemented.

To ensure the sustainability of the dollarization system, policy makers passed a series of fiscal responsibility laws that limited the annual growth rate of real central government expenditures to 3.5 percent and capped the debt-to-GDP ratio at 40 percent. Additionally, a number of oil stabilization funds were created in order to force government savings (though a portion of these funds were earmarked for a variety of projects other than savings; for details, see Cueva 2008). Finally, also in 2000, the authorities reached an agreement with international lenders to restructure the government’s foreign debt, which Ecuador had defaulted on the year before. The restructuring lowered the face value of the debt by 40 percent.

The dollarization regime proved to be successful at reducing the inflation rate. After peaking at 108 percent in September 2000, the inflation rate started a consistent decline, and by 2003 it had dropped to one-digit levels, values not observed since the early 1970s.9 Moreover, between 2003 and 2006, the inflation rate averaged 4 percent.

The reduction in inflation was accompanied by a restart in growth, and during the 2000–2006 period the average growth rate of GDP was 4.3 percent. On the fiscal side, the central government posted average deficits of 0.5 percent of GDP and average primary surpluses of 2.5 percent during the first six years of dollarization, a significant reversal from the patterns observed in the previous decade. The improvements in the fiscal accounts, coupled with the renewed growth of the economy, produced noticeable decreases in the debt-to-GDP ratios, with the foreign debt-to-GDP ratio dropping from 55 percent in 2000 to 21.5 percent in 2006 and the (central government) domestic debt-to-GDP ratio falling from 16 percent to 7 percent during the same interval.

A Second Oil Boom and an Increased Role of the State, 2007–17

In 2007, Rafael Correa took office. His election marked a departure from prevailing trends on two fronts. On the political side, it ended the era of political instability that had started in the late 1990s and had continued during the early 2000s.10 On the economic side, Correa’s administration promoted policies that highlighted the role and the participation of the state in the economy, increasing public expenditures and reverting the relatively disciplined fiscal stance observed during the previous period. Indeed, central government expenditures jumped from an average of 16 percent of GDP between 2000 and 2006 to 23.5 percent between 2007 and 2017. The increase in expenditures was driven by a second oil boom—which had started in 2004 but intensified during this period—characterized by historically high oil prices (even when adjusted by inflation) that boosted oil revenues during most of the 2007–17 period.

The increase in oil revenues was coupled with growth in tax revenues, which jumped from 9 percent of GDP in 2007 to an average of 13 percent of GDP between 2007 and 2017. The expansion in tax revenues was due to improved collection as well as to more than twenty tax reforms that expanded the tax base, increased existing taxes, and created new ones. However, in spite of the oil windfall and the increase in overall revenues—and the depletion of the stabilization funds created during the previous period—these factors were not enough to compensate for the increase in expenditures. Indeed, between 2007 and 2017, the average deficit jumped to 3.5 percent of GDP, compared to 0.5 percent during 2000–2006. To finance these deficits, the government increased its domestic and foreign borrowing, both of which had been on a declining path throughout the previous period. Total foreign debt jumped from $10.5 billion to $31.5 billion between 2007 and 2017, whereas domestic debt grew fourfold during the same period.

During the 2007–17 period, output continued expanding and inflation remained low, averaging annual growth rates of 3.3 percent and 3.8 percent, respectively. However, the fall in oil prices during the global financial crisis, and especially during the more recent one that began in 2014, affected the growth of the economy and underscored its chronic dependence on oil prices. Between 2015 and 2017, years with significantly lower oil prices, output grew at only 0.4 percent per year on average. Additionally, the inability of the government to reduce its expenditures to reflect the drop in revenues forced it to substantially increase its reliance on foreign borrowing. Indeed, the large increases in domestic and foreign indebtedness in such a short period of time—combined with their onerous conditions characterized by short maturities and high interest rates—have raised concerns about the long-term viability of the dollarization system because of fears that the government will not be able to obtain new credits and will cede to the temptation of abandoning the dollarization regime. Moreover, although in principle in a dollarized country the central bank is supposed to lose its ability to conduct monetary policy, “creative” measures recently devised, such as the central bank using bank reserves to lend to the government,11 have not helped assuage the fears regarding the sustainability of the dollarization scheme.

Fiscal Policy: Revenues and Expenditures of the Central Government

We now document the main trends in Ecuador’s fiscal policy during the 1960–2017 period. For the majority of this period, fiscal policy in Ecuador has been procyclical, as shown in Figure 4, where we plot the cyclical components of real government consumption expenditures and output. Indeed, the correlation coefficient between the two series is 0.7.12

Table 2 breaks down the cyclical behavior of fiscal policy across the different periods. Fiscal policy was highly procyclical during the pre-oil and oil boom periods. The procyclicality patterns somewhat decreased during the Great Depression years, and fiscal policy actually became countercyclical during the early years of the dollarization era. However, the rapid government expansion during the 2007–17 period turned fiscal policy procyclical again, reaching levels similar to those observed during the oil boom. This reversal is of particular importance, since, as a dollarized economy, Ecuador cannot use monetary policy as a stabilization tool. This, coupled with the highly procyclical current patterns of fiscal policy, implies that the country has become quite exposed to external shocks—a common recurrence in Ecuador’s economic history—and thus faces considerable difficulties when trying to cope with those adverse events.

Figure 5 depicts total revenues and expenditures of the central government.13 The effect of the discovery of oil is quite evident. Prior to the oil boom, total revenues and expenditures had averaged 10.1 percent and 11.5 percent of GDP, respectively. With the new oil wealth, the size of the government ballooned and has remained large ever since, representing 19.5 percent and 21.1 percent of GDP during the 1972–2017 period. The lack of downward flexibility of expenditures is particularly troubling, especially given the volatility in oil prices. For example, between 1982 and 1999, when the average price of oil was significantly below the one observed during the oil boom, total expenditures still represented 20.7 percent of GDP on average. Only during the first years of dollarization was there a noticeable decrease in expenditures, when they averaged 15.9 percent of GDP, reflecting the relatively disciplined approach to fiscal policy at the time. This trend clearly changed during the latter dollarization subperiod, when total expenditures averaged 23.5 percent of GDP, aided in part by the second oil boom that lasted until 2014.

Figure 4. GDP and government expenditure, percent deviation from trend

Table 2. Correlation between the cyclical components of government expenditures and GDP

Period

Correlation coefficient between cyclical components

1960–81

0.78

1960–71

0.74

1972–81

0.85

1982–99

0.56

2000–2017

0.46

2000–2006

−0.75

2007–17

0.76

1960–2017

0.70

Figure 5. Revenue and outlays, percentage of GDP, and WTI (West Texas Intermediate) oil price, 2010 US$

Figure 6 shows the main components of total revenues and expenditures of the central government. Prior to the oil boom, the main source of revenues was tariffs, which accounted on average for 42 percent of total revenues, with income taxes and production taxes accounting for an additional 25 percent. This pattern was altered in 1972, when oil revenues went on to become the single largest source of revenue between 1972 and 1999, averaging more than a third of total revenues. However, the relative importance of the value-added tax has been rising since its establishment during the tax reform in 1988, and during the dollarization era it surpassed oil revenues as the main source of revenues, accounting for 30 percent of total revenues (with oil accounting for over a quarter of all revenues of the central government).

On the expenditures side, wages and purchases of goods and services were the main categories of expenditure during the pre-oil era. The oil wealth and heavy borrowing allowed the central government to undertake a number of large-scale projects, and consequently capital expenditures became the largest component of total expenditures during the oil boom period. The massive accumulation of debt during the 1972–81 period led to an increase in the relative importance of interest payments, which saw its share out of total expenditures grow to an average of 16 percent during the 1982–99 period. This fraction dropped to an average of 10.8 percent since the establishment of dollarization, although it has exhibited an upward trend since 2007 because of the rapid increase in government borrowing ever since. Lastly, the share of capital expenditures expanded from an average of 25 percent between 2000 and 2006 to 40 percent between 2007 and 2017, reflecting the Correa administration’s efforts to improve and expand the country’s infrastructure.

Figure 6. Central government: top panel: main sources of revenues, percent of total revenues; bottom panel: main sources of outlays, percent of total outlays

Finally, Figure 7 presents the deficit and primary deficit of the central government. The comparatively small deficits registered during the 1960–71 period—which averaged 1.4 percent of GDP—nearly doubled during the 1972–81 period and represented on average 2 percent of GDP. Between 1982 and 1992, the central government ran an average deficit of 0.25 percent of GDP, but this value hides a large volatility in the fiscal balance, with large deficits during the early years of the debt crisis and in 1987 (due to the earthquake that stopped oil exports) and surpluses between 1989 and 1992. A similar picture arises for the 1993–99 period: the early years—characterized by an orthodox management of the fiscal accounts—registered surpluses, but the fiscal position became negative as a consequence of the Cenepa War in 1995 and worsened significantly by the end of the decade because of low oil prices, the severe El Niño event of 1997–98, and the financial crisis of 1999. All in all, the average deficit during that period reached 1.7 percent of GDP. During the two “lost decades” period, it is also possible to appreciate the painful consequences of the heavy borrowing conducted during the 1970s: the government ran mainly primary surpluses between 1982 and 1999, but ultimately the deficits reflect the onerous burden of the interest payments.

The dollarization era is marked by nearly balanced budgets during the 2000–2006 period (with an average deficit of 0.5 percent of GDP) and large deficits between 2007 and 2017, reaching nearly 3.5 percent of GDP, in spite of a second oil bonanza for the better part of that interval. The 2007–17 period also marks a change in the patterns of the primary deficit: from 2000 until 2006, the central government had posted primary surpluses, while since 2007 those reverted to primary deficits of 2.1 percent of GDP on average.

Figure 7. Deficit and primary deficit, percentage of GDP

The Evolution of the Public Debt

Prior to the oil boom, Ecuador’s public debt was relatively low, although both foreign and domestic debt-to-GDP ratios had been growing since the 1950s, reflecting the recurrent deficits posted by the government. Foreign debt (measured in sucres) represented on average 12.4 percent of GDP during the 1960–71 period, and domestic debt represented a slightly larger share at 17.4 percent of GDP, especially during the final years of this period (see Figure 8).

The expansion of government spending during the oil boom, combined with the abundant liquidity and low interest rates prevailing in the international markets, led to an enormous increase in foreign indebtedness, which grew from $248 million in 1972 to more than $4,400 million by the end of 1981. The ratio of foreign debt (measured in sucres) to GDP doubled from 17.7 percent to 35.3 percent between 1972 and 1981. The easy access to external credits led to foreign borrowing replacing domestic borrowing as the main category of total debt. Indeed, during this period, the domestic debt-to-GDP ratio declined from 19.1 percent to 8.3 percent.

During the Great Depression, total foreign debt kept growing and reached $12.5 billion by the end of 1992. During the early years of this period, a significant portion of the increase in the stock of foreign debt was from the sucretización of the private foreign debt, which, as previously mentioned, reduced private indebtedness from $1,628 million in 1982 to $227 million in 1984, with most of this reduction becoming public debt. On the other hand, a large fraction of the increase in foreign debt during the latter years of this period was from arrears, which the government started accumulating after the earthquake of 1987. The magnitude of the arrears was massive, and by the end of 1992, they amounted to $2.7 billion, or roughly 22 percent of all outstanding foreign debt.

Figure 8. Total public foreign and domestic debt, percentage of GDP

As a result of these factors, the foreign debt-to-GDP ratio peaked at 109 percent in 1989 before eventually dropping to 76 percent in 1992. It is worth noting that, although the stock of foreign debt rose rapidly during this period, nominal output increased rapidly as well, and this should have curbed the growth in the debt ratio. Thus an important portion of the increase in the foreign debt-to-GDP ratio was from fluctuations in the real exchange rate. Figure 9 compares the path of the debt ratio when keeping the real exchange rate fixed.14 On the other hand, the domestic debt-to-GDP ratio continued the declining trend exhibited during the previous period, and by the end of 1992 it represented less than 3 percent of GDP.

The composition of external creditors changed noticeably during the 1982–92 period, given Ecuador’s inability to borrow from private sources after the freeze in lending triggered by the Mexican default in 1982. The share of private creditors, which in 1983 accounted for 75 percent of total public and publicly guaranteed (PPG) debt, fell to 60 percent in 1992, while the share of multilateral and bilateral creditors doubled during the same period (see Figure 10). The dependence on loans from multilateral institutions became a repetitive feature of the Ecuadorian economy during the debt crisis years.

After the Brady agreement in 1994, the foreign debt-to-GDP ratio kept declining until it reached 63 percent in 1997, its lowest level since the onset of the debt crisis. However, the slowdown in the economy during the last two years of the decade—and in particular, the large output contraction of 1999—combined with the fast depreciation of the sucre propelled the foreign debt-to-GDP ratio to nearly 100 percent in 1999. Moreover, the increase in domestic borrowing to rescue the failing financial system led to a rapid increase in the domestic debt-to-GDP ratio from 11 percent of GDP in 1997 to 41.5 percent of GDP in 1999.

Figure 9. Foreign public debt: Actual and with fixed real exchange rate (RER), percentage of GDP

Figure 10. Composition of external creditors, percent of PPG debt

The initial years of the dollarization regime were characterized by sustained reductions in the debt ratios. The small central government deficits, coupled with the reduction in the foreign debt stock due to the restructuring agreement in 2000 after the Brady default of 1999 and strong GDP growth averaging over 4 percent a year, led to a decrease in the foreign debt-to-GDP ratio (measured in dollars) from 62 percent in 2000 to 22 percent in 2006. Similarly, domestic debt fell from 15.5 percent to 7 percent during the same period.

The declining paths of the debt indicators observed during the early years of the dollarization era were reversed during the 2007–17 period. Since the government wanted to expand the participation of the state in the economy, it increased public spending substantially—well beyond the increase in revenues. Since seigniorage revenues were not an option for deficit financing because of the dollarization regime, the government resorted to increased borrowing, both domestic and foreign. This increase in indebtedness—which occurred during a period of historically high oil prices—could have been even larger if not for two events. One was the law passed in 2008 that unilaterally extinguished the government bonds—amounting to $1.1 billion—that had been purchased by the central bank from the deposit insurance agency during the financial crisis of 1999. Second, also in 2008, the government refused to pay a portion of the foreign debt that it had previously labeled—on ideological grounds—as “illegitimate” and that totaled nearly $3.2 billion. Later, in 2009, after the face value of this debt had collapsed, the government decided to repurchase it by paying about $900 million. Note that this default occurred during a period of abundance of resources, so it signaled a lack of willingness, rather than an inability, to pay. While this default had the short-run “benefit” of reducing the stock of foreign debt, its ulterior consequences have been costly: foreign lenders have been reluctant to extend new loans, and the ones that have done so—mainly China—have demanded onerous conditions in an era of historically low interest rates. The rapid expansion of government borrowing led to the foreign debt-to-GDP ratio reaching 30 percent by 2017, while its domestic counterpart stood at 14 percent in the same year—that is, the debt ratios doubled in only ten years. This in turn implies that the current borrowing levels exceed the debt limit imposed by the fiscal responsibility laws of the early 2000s, another indication of the lack of fiscal restraint that has characterized this last period.

Monetary Aggregates, the Nominal Exchange Rate, and Inflation

We now analyze the main trends in the monetary aggregates and the exchange rate and their comovements with the inflation rate. Figure 11 shows the year-to-year growth rate of Ecuador’s monetary base and M1 and of the inflation rate (measured as the percentage change in the consumer price index) for the predollarization period. The averages for the subperiods are summarized in Table 3.

The table reveals that periods of faster monetary growth also exhibited higher inflation rates. Similarly, it shows that the correlation between inflation and the growth in monetary aggregates became stronger after 1982. Indeed, although between 1960 and 1971 monetary aggregates grew at double-digit rates on average, these rates were the lowest registered during the full 1960–99 predollarization period. In turn, inflation remained low, averaging 4.9 percent. The growth rates of monetary aggregates almost doubled during the oil boom, with an average growth rate of 21.4 percent for the monetary base and 23.6 percent for M1. This period marks the beginning of the inflationary years in Ecuador, with the average inflation rate growing threefold relative to the previous period, averaging 13 percent per year.

Figure 11. Inflation and annual growth rates of monetary base and M1, percent

Table 3. Annual growth rates of MB and M1 and correlation with inflation

Period

Average growth rate of MB (%)

Average growth rate of M1 (%)

Average inflation rate (%)

Correlation between MB and inflation

Correlation between M1 and inflation

1960–81

16.2

17.1

8.6

0.48

0.64

1960–71

11.8

11.7

4.9

0.37

0.37

1972–81

21.4

23.6

12.9

0.26

0.39

1982–99

38.8

36.0

39.1

0.55

0.47

1982–84

19.1

24.6

32.3

−0.20

−0.01

1985–88

36.2

32.4

34.4

0.57

0.77

1989–92

55.4

44.2

57.3

0.57

0.11

1993–96

31.4

35.7

30.3

0.72

0.47

1997–99

50.0

41.6

39.5

0.74

0.60

The Great Depression period recorded even faster growth in the monetary aggregates and an average inflation rate of nearly 40 percent. Indeed, the growth rate of monetary aggregates progressively increased between 1982 and 1992, and the rapid monetary increases were matched by a consistent rise in inflation. When monetary expansion slowed down between 1993 and 1996, a corresponding decline in inflation was observed, but the return of disorderly monetary growth between 1997 and 1999—especially in 1999 because of the financial crisis—produced a jump in inflation, which averaged almost 40 percent per year.

The sources of the changes in the monetary base are presented in Table 4.15 Between 1960 and 1971, the largest source of the increase in the monetary base was the increase in domestic net credit, reflecting the traditional practice of the central government of borrowing from the central bank to finance its operations.

That trend reverted between 1972 and 1981, when the accumulation of international reserves during the oil boom accounted for the largest fraction of the increases in the monetary base. On the other hand, the sources of increases in the monetary base differ across subperiods during the Great Depression years. Indeed, between 1982 and 1988, increases in domestic net credit accounted for the observed expansion in the monetary base (in fact, reserves played a negative role), with increases in net credit to the financial sector (FS) dominating the 1982–84 period (when the sucretización mechanism was implemented) and increases in net credit to the nonfinancial public sector (NFPS) claiming the largest source of increases in net credit during the 1985–88 period. Finally, since 1988, increases in reserves accounted for the largest share of growth in the monetary base, with most of the contraction in domestic net credit due to reductions in the net credit to the NFPS (that is, the NFPS increased its deposits in the central bank).

Table 4. Growth rates of MB and its sources (percentage)

MB growth due to

Growth of DNC components

Period

Avg. growth of MB

Reserves

Domestic net credit (DNC)

To NFPS

To FS

Other assets

Other

1960–81

16.3

63.0

37.0

-32.6

29.4

−36.7

−11.3

1960–71

11.7

10.0

90.0

49.8

11.0

33.6

−11.4

1972–81

21.9

97.0

3.0

−131.5

51.4

−121.1

−11.1

1982–99

42.4

121.1

−21.1

−131.9

53.1

198.0

−244.4

1982–84

24.0

−11.0

111.0

−574.5

90.4

1209.5

−1124.5

1985–88

41.1

−57.5

157.5

8.3

−0.3

68.0

−74.8

1989–92

52.3

187.0

−87.0

−101.8

−19.6

50.3

−52.9

1993–96

27.4

264.1

−164.1

−26.3

−84.8

−38.2

8.8

1997–99

69.5

166.0

−66.0

−57.4

367.8

−128.3

−183.3

As inflation became a defining feature of the economy, the currency composition of the monetary aggregates changed accordingly. Ecuadorian agents, attempting to avoid the ever-rising inflation, increased their money holdings in foreign currency—mainly dollars—significantly. While prior to 1984 the dollar-denominated share of M2 (composed of dollar-denominated checking and savings accounts, as well as time and other deposits in dollars) had remained relatively constant around 2 percent, it started a continuous increase, reaching 10 percent in 1994 and 45 percent in 1999. Thus while Ecuador officially dollarized in 2000, prior to that date the use of the dollar was already widespread, and the economy exhibited a high degree of informal, or de facto, dollarization.

Finally, in Figure 12 we show the evolution over time of the nominal exchange rate, a variable that has been widely believed to influence inflation in Ecuador, at least since the 1980s. Indeed, a variety of exchange rate regimes aimed at reducing the inflation rate were in place in Ecuador until the adoption of the dollar. Additionally, in Figure 13 we plot the comovements of the annual depreciation of the nominal exchange rate and the inflation rate. The depreciation rate corresponds to the year-to-year change in the average of the three types of exchange rates (official, intervention, and free market).

Table 5 summarizes the period averages and shows that periods with higher depreciation rates coincide with higher inflation rates. Moreover, until 1982 Ecuador operated essentially under a fixed exchange regime, with a depreciation in 1961 and another one in 1970, and the correlation between the depreciation rate and inflation was very low. Since 1982, this correlation has intensified over time, with the brief exception of the 1982–84 and 1989–92 subperiods.

Figure 12. Official, intervention, and free market exchange rates, sucres per dollar, log scale

Figure 13. Annual nominal exchange rate depreciation and inflation rate, percent

Table 5. Average depreciation rate and correlation with inflation

Period

Depreciation rate (%)

Inflation rate (%)

Correlation between depreciation and inflation

1960–81

2.70

8.56

0.01

1960–71

4.01

4.93

0.23

1972–81

1.12

12.91

−0.06

1982–99

42.55

39.07

0.34

1982–84

47.03

32.26

−0.06

1985–88

41.56

34.36

0.69

1989–92

42.37

57.34

0.05

1993–96

29.50

30.32

0.54

1997–99

57.04

39.47

0.90

The Government’s Budget Constraint Accounting

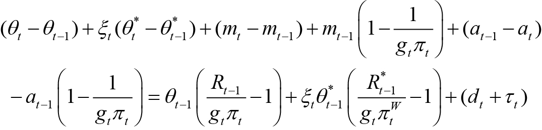
Having documented the main historical, fiscal, and monetary trends, we move on to quantifying the sources of deficit financing. To do so, we employ the framework developed in Sargent (1993) to assess the alternative sources available to the government to finance its obligations. The budget constraint of the government in period t is

,     (1)

where Bt, bt, and are total nominal, indexed, and dollar-denominated debt in period t, in that order, and Rt, rt, are their respective gross returns; Mt is the stock of money; Dt is the government primary deficit, and Tt are government transfers, which include transfers between the central government and the rest of the public sector, as well as the types of “extraordinary transfers” described in “A Framework for Studying the Monetary and Fiscal History of Latin America”; and Pt and Et are the price level and the nominal exchange rate.

We modify (1) to incorporate two features relevant to the Ecuadorian case. First, since there are no publicly available statistics on Ecuadorian indexed government debt, we drop their corresponding terms from the budget constraint. Second, we include an additional option for financing deficits traditionally used in Ecuador: the use of previously accumulated assets of the central government. Essentially, these are deposits held in the Central Bank of Ecuador—usually in the form of money accounts—and thus the government earns no return on these assets. Including these two modifications yields a government budget constraint that can be written as

,     (2)

where At represents the government’s deposits in the central bank. Expressing (2) in terms of nominal GDP (Ptyt) and grouping terms yields

,     (3)

where is the foreign price level and is foreign inflation, gt = yt/yt − 1 is the real GDP growth rate, is the real exchange rate, and .

The terms on the right-hand side of (3) denote the government’s obligations in period t: the first two terms represent the returns on the two types of debt, while the last term is the government primary deficit, including transfers. The terms on the left-hand side include the sources to finance those obligations: the first two terms represent the changes in the debt-to-GDP ratios of the two types of debt; the third term represents the increase in the stock of money; the fourth term is seigniorage; and the last two terms are the use of assets in the central bank. Thus (3) suggests that sustained deficits need not necessarily lead to inflation if the government is able to borrow to finance its obligations. However, if the government is unable to borrow, then it will need to resort to seigniorage to balance the budget, and consequently deficits can lead to inflation.

In Table 6 we present the results of the budget constraint accounting exercise. Our definition of “the government” refers to the central government, since that is the fiscal level for which consistent statistics for the 1960–2017 period are available (data for Ecuador’s nonfinancial public sector [NFPS]—a more comprehensive measure of the government—start only in 2000). The online appendix 3 (available at http://manifold.bfi.uchicago.edu/) details the data sources used in the analysis. Since there are no available data for the transfers term Tt, that term was calculated as the residual that makes the budget constraint hold in each period. Moreover, since Ecuador dollarized in 2000, the government cannot issue currency at its discretion (except for a small number of fractional coins, which by law must be fully backed by international reserves) and consequently does not receive seigniorage revenues.16 Consequently, we set the corresponding terms in the budget constraint to zero for the 2000–2017 period.

Table 6. Central government budget accounting results, 1960–2017 (percentage of GDP)

Sources

Obligations

Period

Domestic debt

Foreign debt

Money issuing

Seigniorage

Assets in CB

Total

Domestic return

Foreign return

Primary deficit

“Transfers”

Total

1960–81

0.08

1.39

−0.03

1.40

−0.32

2.52

0.64

0.89

0.60

0.39

2.52

1960–71

1.26

0.38

0.14

0.85

−0.19

2.44

0.68

0.45

0.46

0.85

2.44

1972–81

−1.34

2.60

−0.23

2.05

−0.48

2.61

0.59

1.43

0.75

−0.15

2.61

1982–99

1.79

0.64

−0.02

1.82

−0.68

3.56

0.69

4.20

−2.47

1.13

3.56

1982–84

−0.85

7.93

−0.57

1.88

−0.42

7.98

0.51

7.02

−1.10

1.54

7.98

1985–88

0.66

1.34

0.09

1.96

−0.84

3.20

0.76

4.93

−1.75

−0.74

3.20

1989–92

−1.02

−2.26

−0.30

2.38

−1.18

−2.38

0.52

3.60

−5.13

−1.37

−2.38

1993–96

2.29

−3.84

−0.25

1.39

−0.24

−0.65

0.49

2.56

−2.58

−1.12

−0.65

1997–99

9.00

2.27

1.09

1.43

−0.64

13.14

1.26

3.42

−1.11

9.57

13.14

2000–2017

−0.08

−0.90

−0.17

−1.16

0.59

1.31

0.31

−3.36

−1.16

2000–2006

−1.24

−3.90

−0.49

−5.63

0.70

2.06

−2.48

−5.92

−5.63

2007–17

0.65

1.00

0.03

1.68

0.52

0.82

2.08

−1.74

1.68

1960–2017

0.56

0.45

−0.02

1.10

−0.39

1.70

0.64

2.05

−0.44

−0.54

1.70

We find that for the entire 1960–2017 period, the government’s average financing needs represented 1.7 percent of GDP per year. Seigniorage was—by far—the most heavily used means to finance those obligations, representing, on average, nearly two-thirds of the sources of financing. In fact, that value understates the historic reliance on seigniorage, since that option became unavailable after the economy was dollarized in 2000. From Table 6 it is also evident that the financing needs—and the sources used to cover them—varied significantly throughout the periods covered in our analysis. We discuss the different trends across periods next.

Accounting Results: Growth and Oil Boom Era

As reported in Table 6, the 1960–81 period registered the smallest average obligations during the predollarization era at 2.52 percentage points (pp). The central government’s primary deficit represented, on average, 0.6 pp and interest payments amounted to 1.53 pp, with domestic and foreign debt interest payments of relatively similar magnitudes. The pre–oil boom and oil boom subperiods, however, exhibited contrasting trends.

Prior to the oil boom, the central government’s obligations were even lower than those for the entire period, averaging 2.44 pp. Primary deficits were smaller as well, standing at 0.46 pp, and interest payments represented 1.13 pp, with the share of domestic payments being slightly higher than the foreign one. During this subperiod, nearly half of the financing needs were covered by increases in domestic debt, while foreign debt accounted for about 16 percent of the financing needs. Moreover, even though seigniorage played a more significant role than foreign debt, it only averaged 0.85 pp. In fact, seigniorage revenues during these years were the lowest for the whole predollarization era. This period of a relatively small government, comparatively low financing needs, and limited use of seigniorage in turn coincided with the lowest average inflation.

On the other hand, the expansion of the government during the oil boom is quite evident: average financing needs jumped to 2.61 pp, and the average primary deficit rose to 0.75 pp. The way to finance these obligations significantly changed when compared to the previous period. Given the favorable prevailing external conditions, the government relied on external borrowing to cover its deficits. Indeed, foreign debt increases averaged 2.6 pp, while the role of domestic debt declined. The rapid increase in foreign indebtedness led to a large increase in the foreign debt interest payments, which more than tripled when compared to the 1960–71 period, averaging 1.43 pp. The rise in primary deficits and interest payments was coupled with a significant increase in the use of seigniorage, which more than doubled in magnitude when compared to the previous period. This increased reliance on seigniorage was accompanied by a sizable jump in inflation, which nearly tripled during this period, averaging 12.9 percent per year.

Accounting Results: The Great Depression

The accounting results for the Great Depression period show that, in spite of the collapse in oil prices and the deterioration of external conditions, the financing needs during this era actually increased relative to the 1960–81 period, averaging 3.56 pp per year. Although the government ran, on average, primary surpluses during this period—a departure from the trend observed between 1960 and 1981, when the government ran average primary deficits—the increase in obligations was driven, for the most part, by large interest payments—and more specifically by foreign debt interest payments, which averaged 4.2 pp between 1982 and 1999. This heavy burden was a direct consequence of the massive increases in the stock of foreign debt during the oil boom years.

How were these obligations financed? The strategy favored during the previous period of resorting to foreign borrowing was rendered unfeasible because of the credit crunch derived from the Latin American debt crisis.17 Thus the government relied increasingly on seigniorage, which became the largest source of financing between 1985 and 1992. The growing dependence on seigniorage during the first half of the 1982–99 period was in turn matched by an increase in the average rate of inflation.

The latter years of this period exhibit two distinct phases. Between 1993 and 1996, the financing needs were negative, in line with primary surpluses that averaged 2.6 pp. This subperiod registered large reductions in the foreign borrowing component (mostly because of the debt restructuring contemplated in the Brady agreement), increases in domestic debt that averaged 2.3 pp, and the lowest seigniorage since the pre-oil period at 1.39 pp. On the other hand, the 1997–99 subperiod was characterized by increases in all the sources components (except for the term corresponding to assets in the central bank). In particular, domestic debt increases averaged 9 pp, reflecting the massive borrowing from the central bank as the government needed to bail out the banking system during the financial crisis of 1999. This in turn was materialized in the largest money-issuing component during the whole period under analysis, averaging 1.09 pp. In all, seigniorage dropped by nearly a third between 1993 and 1999, and the inflation rate also declined to an average of 34.2 percent per year.

To conclude the analysis of the predollarization years, in Figure 14 we plot the two main sources of financing during this period—namely, the changes in total debt in equation (3) and seigniorage. We find that the two series are negatively correlated (with a correlation coefficient of −0.17), suggesting that debt and seigniorage were used as substitute—rather than complementary—sources of revenue.

Accounting Results: Dollarization

The dollarization years are characterized by two distinct subperiods. During the first part (2000–2006), the relatively orderly management of the fiscal accounts led to average primary surpluses of 2.48 pp. In turn, both the domestic and foreign debt components experienced reductions of 1.24 pp and 3.90 pp, respectively.

On the other hand, the size of the government expanded significantly during the 2007–17 period, and the streak of primary surpluses dating back to the mid-1980s was turned into average primary deficits of 2.08 pp, the largest for the whole 1960–2017 period. Because of the dollarization regime, the government cannot turn to seigniorage to finance those deficits. However, it has been able to finance this expansion with increases in both domestic and foreign borrowing, which averaged 0.65 and 1.0 pp, in that order. (This last figure could have been larger, but recall that in 2009 there was a large decline in the stock of foreign debt due to the strategic default of 2008.) Note that in spite of the large fiscal imbalances, the inability to use seigniorage sources—combined with the ability to borrow domestically and externally—resulted in an average inflation of less than 4 percent per year, the lowest since the pre–oil boom period.

Figure 14. Change in total debt and seigniorage, percentage of GDP

The Role of the “Extraordinary Transfers”

A noteworthy finding in the budget constraint exercise is the large size of the “transfers” component. Indeed, transfers accounted, on average, for nearly 16 percent of the obligations during the 1960–81 period and for almost a third of the financing needs between 1982 and 1999, and they were the largest component (although negative) of the obligations during the dollarized era.18

A natural question is, What constitutes these transfers? Certainly, a fraction of them could be from statistical discrepancies, errors, and omissions. Moreover, another portion of the transfers can be thought of as the deficit of the public sector beyond the central government. Indeed, in the online appendix 2 (available at http://manifold.bfi.uchicago.edu/), we perform the budget constraint analysis during the 2000–2017 period for the Ecuadorian NFPS, a broader definition of the government that, in addition to the central government, includes nonfinancial public enterprises, local governments, and the Social Security Institute, plus other smaller institutions.19 Working with a wider definition of the government indeed reduces the size of the transfers component, which averaged −2.93 pp between 2000 and 2017 for the NFPS instead of −3.69 pp for the central government. Unfortunately, the lack of consistent and comparable NFPS data precludes us from extending this analysis prior to 2000.

More importantly, we find that the peaks and troughs in the transfers term coincide with several of the most critical events in Ecuadorian history (see Figure 15). For example, the high level of transfers during the early 1980s coincided with the sucretización of the private foreign debt. Similarly, the steep rise in transfers in 1999 coincided with the financial crisis, when the government experienced massive financing needs owing to its decision to provide assistance to the banking system. This suggests that a further share of the “transfers” term corresponds to the deficit of the central bank.20 On the other hand, the large negative transfers terms in 1995, 2000, and 2009 coincided with years when the stock of foreign debt decreased sharply, first from the restructuring of the foreign debt after the Brady agreement in 1994 and the default of 1999 and later due to the strategic default of 2008.

Thus these transfers most certainly represent expenditures not properly recorded—nor reported—in the government accounts and reveal the untold story of hidden fiscal costs. As such, they embody the consequences of the government’s own policy mistakes—for example, the extreme dependence on oil revenues, the absence of any saving provisions to deal with the volatility in oil prices, and the massive external borrowing during the 1970s—as well as the mistakes of others (e.g., the private sector), which eventually ended up becoming the government’s responsibility.

To assess the impact of those off-the-record expenses, we compare the actual path of the debt-to-GDP ratio with a hypothetical debt ratio computed under the assumption of transfers being zero in every year. This would reflect the borrowing needed to finance the deficits actually recorded. The two series are depicted in Figure 16. We find that prior to the establishment of the dollarization regime, the magnitude of the transfers term was significant (and positive), and thus the two series diverge noticeably, denoting the additional burden implied by the contingent liabilities. On the other hand, transfers have been negative on average since 2000, mainly because of the reduction in the stock of debt from the debt restructuring of 2001, the default of 2009, and the unilateral elimination of the debt with the central bank in 2008. Consequently, the actual debt ratio is significantly lower than the simulated one, denoting the “relief” provided by those events.

Figure 15. Transfers term, percentage of GDP

Figure 16. Total public debt, actual and without transfers, percentage of GDP

Conclusions

In this study, we document the main trends in Ecuador’s fiscal and monetary history between 1960 and 2017. We also conduct a government budget constraint analysis following Sargent (1993) to identify the sources of deficit financing throughout that period. Since the economic history of Ecuador is characterized by disappointingly low output growth and high inflation for almost two decades, we ask whether the poor macroeconomic performance can be linked to bad fiscal and monetary policy.

We find that between 1960 and 1971, the size of the government and its financing needs were small, and the use of seigniorage to cover the government’s obligations was the lowest for the whole period covered by this study. This coincided with an era of relatively high output growth and low inflation. When the government’s size increased after the oil boom of the 1970s, those patterns changed abruptly. In particular, the government’s financing needs increased significantly, and so did its reliance on seigniorage. The worsening of the fiscal and monetary variables coincided with a period of dismal economic growth—essentially, a Great Depression—and persistently high inflation. Finally, the establishment of the dollarization regime has proven successful at eliminating the inflationary environment that persisted for such a prolonged period. Indeed, although in recent years the government has run large deficits, the inability to use seigniorage to finance those imbalances because of the dollarization scheme has resulted in inflation rates at historically low levels.

We also find that “extraordinary transfers” account for a significant fraction of the government’s obligations and that these transfers have been large during the most critical periods of Ecuador’s economic history. Thus a sizable share of the “transfers” corresponds to additional burdens to the fiscal accounts (beyond deficits), such as the taking over of private liabilities during the sucretización mechanism or the agricultural sector’s debt forgiveness granted by the public development banks, as well as the massive bailout of the banking system during the financial crisis of 1999. A more accurate decomposition of the “transfers” component of the budget constraint would suitably complement our work.

In all, the monetary and fiscal history in Ecuador reveals the country’s failure to adequately manage fiscal and external booms and ensure mechanisms for long-term fiscal sustainability. The need to complement the benefits delivered by the dollarization system with strong, credible, and independent fiscal and monetary institutions conducive to desirable macroeconomic outcomes such as low inflation and indebtedness levels, as well as limited fiscal deficits, stands out as an important objective for the country in order to ensure a more stable macroeconomic environment over time.

Notes

We thank Roberto Mosquera for discussions and relevant contributions to earlier versions of this study and Paola Boel for her valuable comments and feedback. The views expressed herein are those of the authors and not necessarily those of their institutions.

  1. Between 1982 and 1999, Ecuador’s output per working-age person never grew at a rate higher than the 2 percent per year trend, except for the year 1988. Moreover, between 1982 and 1991, Ecuador’s output per working-age person fell 19 percent below trend, and by 1999 it had fallen 35 percent below trend, reflecting a large and rapidly occurring contraction.

    Return to note reference.

  2. The sixth section of this chapter provides a detailed explanation of the government budget constraint accounting methodology.

    Return to note reference.

  3. A more detailed account of the recent economic history of Ecuador can be found in Díaz (2018). A timeline summarizing the most important events can be found in the online appendix 4, available at http://manifold.bfi.uchicago.edu/.

    Return to note reference.

  4. During this period, the exchange rate regime in place was a fixed arrangement. The official exchange rate was 15 sucres per dollar from 1950 until 1961, when the sucre was depreciated to 18 sucres per dollar. This rate lasted until 1970, when it was further depreciated to 25 sucres per dollar, a value that remained in place until 1982.

    Return to note reference.

  5. These figures are in nominal terms and correspond to the price of the WTI crude oil, the grade of petroleum that serves as a reference for Ecuadorian oil.

    Return to note reference.

  6. For a detailed description of the sucretización program, see Bayas and Somensatto (1994).

    Return to note reference.

  7. The crawling peg also aimed at improving the real exchange rate to help the exporting sector.

    Return to note reference.

  8. Even more interestingly, until the approval of the constitution of 1998, some members of the monetary board represented the commercial banks and the chambers of commerce, with potential conflicts of interest when designing policy that affected the financial system.

    Return to note reference.

  9. Note that inflation actually increased after dollarization was implemented and remained high—above 10 percent—for almost three years. A similar pattern was observed in Argentina, where inflation remained above 10 percent for more than two years after the currency board was established in April 1991. A few explanations can account for the case of Ecuador. One is the exchange rate chosen for the currency conversion in January 2000 (25,000 sucres per dollar). Since the exchange rate in December 1999 was just below 18,000 sucres per dollar, the sizable depreciation implied by the conversion rate led to a large increase in the traded goods inflation rate. Moreover, the dollarization announcement was followed shortly by a fiscal adjustment program that included increases in utility rates and public transportation prices, which in turn affected the prices of related goods and services. Finally, the widespread practice of rounding up prices to the nearest dollar when converting prices from sucres contributed to the increases in the price level.

    Return to note reference.

  10. Correa governed uninterruptedly from 2007 to 2017, after gaining two reelections.

    Return to note reference.

  11. The constitution of 2008, sponsored by the Correa administration, removed the autonomy of the central bank and made it dependent on the executive branch, which became responsible for fiscal and monetary policy design.

    Return to note reference.

  12. The cyclical components were calculated using the Hodrick-Prescott filter. We work with data in dollars in order to use uninterrupted series expressed in a single currency.

    Return to note reference.

  13. We focus on the central government since it is the level of government for which the longest comparable time series are available.

    Return to note reference.

  14. In the online appendix 1, available at http://manifold.bfi.uchicago.edu/, we present the results of the budget constraint accounting exercise, keeping the real exchange rate fixed.

    Return to note reference.

  15. The average growth rates of the monetary base differ slightly relative to the values in Table 3 because the latter are based on annual values, whereas the former rely on monthly data.

    Return to note reference.

  16. In a dollarized economy, the changes in the stock of money are not determined by the central bank but instead by the overall balance of payments deficit or surplus.

    Return to note reference.

  17. Note that during the early years of the debt crisis, there were significant increases in the foreign debt component. However, a large fraction of those additions was actually from the sucretización arrangement, by which the government took over the foreign debt originally contracted by the private sector.

    Return to note reference.

  18. A positive value for the transfer term can be interpreted as additional obligations not recorded in the statistics. Similarly, a negative transfer can be thought of as sources not explicitly registered.

    Return to note reference.

  19. The NFPS deficit also includes crude oil derivatives subsidies, since the final price of fuels and cooking gas in Ecuador has consistently been below import prices. This subsidy has been typically assumed by Ecuador’s public oil enterprises.

    Return to note reference.

  20. Other sources of these “transfers” include the recapitalization of public development banks (for example, of the Banco de Fomento, a public bank that lends to the agricultural sector and has routinely granted farmers debt forgiveness); government support to the social security systems (both the general and the social security systems of the armed forces and the police); and floating debt, a term used in Ecuador to denote arrears with government suppliers.

    Return to note reference.

References

  1. Bayas, Santiago, and Eduardo Somensatto. 1994. “Programa de sucretización ecuatoriano: Historia de los efectos monetarios de la conversion de la deuda externa del sector privado.” Cuestiones económicas 23:125–51.

  2. Cueva, Simón. 2008. “Ecuador: Fiscal Stabilization Funds and Prospects.” Country Department Andean Group Working Paper CSI-110, Inter-American Development Bank, Washington, D.C.

  3. de la Torre, Augusto, Roberto García-Saltos, and Yira Mascaró. 2001. “Banking, Currency and Debt Meltdown: Ecuador Crisis in the Late 1990s.” Unpublished manuscript, World Bank, Washington, D.C.

  4. Díaz, Julián P. 2018. “La historia económica contemporánea del Ecuador, 1972–2015.” In Reformas y desarrollo en el Ecuador contemporáneo, edited by Javier Díaz Cassou and Marta Ruiz-Arranz, 7–36. Washington, D.C.: Inter-American Development Bank.

  5. Jácome, Luis. 2004. “The Late 1990s Financial Crisis in Ecuador: Institutional Weaknesses, Fiscal Rigidities, and Financial Dollarization at Work.” Working paper WP/04/12, International Monetary Fund, Washington, D.C.

  6. Kehoe, Timothy J., and Edward C. Prescott. 2007. “Great Depressions of the Twentieth Century.” In Great Depressions of the Twentieth Century, edited by Timothy J. Kehoe and Edward C. Prescott, 1–20. Minneapolis: Federal Reserve Bank of Minneapolis.

  7. Morillo Batlle, Jaime. 1996. Economía Monetaria del Ecuador. Quito: Libri Mundi.

  8. Sargent, Thomas J. 1993. Rational Expectations and Inflation. 2nd ed. New York: HarperCollins.

Annotate

Next Chapter
Discussion of the History of Ecuador
PreviousNext
Copyright 2021 by the Regents of the University of Minnesota
Powered by Manifold Scholarship. Learn more at
Opens in new tab or windowmanifoldapp.org