Skip to main content

A Monetary and Fiscal History of Latin America, 1960–2017: Discussion of the History of Peru 1

A Monetary and Fiscal History of Latin America, 1960–2017
Discussion of the History of Peru 1
  • Show the following:

    Annotations
    Resources
  • Adjust appearance:

    Font
    Font style
    Color Scheme
    Light
    Dark
    Annotation contrast
    Low
    High
    Margins
  • Search within:
    • Notifications
    • Privacy
  • Project HomeA Monetary and Fiscal History of Latin America, 1960–2017
  • Learn more about Manifold

Notes

table of contents
  1. Cover
  2. Title Page
  3. Copyright Page
  4. Contents
  5. Foreword
  6. Acknowledgments
  7. Detecting Fiscal-Monetary Causes of Inflation
  8. A Framework for Studying the Monetary and Fiscal History of Latin America
  9. Argentina
    1. The History of Argentina
      1. Discussion of the History of Argentina 1
      2. Discussion of the History of Argentina 2
  10. Bolivia
    1. The History of Bolivia
      1. Discussion of the History of Bolivia
  11. Brazil
    1. The History of Brazil
      1. Discussion of the History of Brazil 1
      2. Discussion of the History of Brazil 2
  12. Chile
    1. The History of Chile
      1. Discussion of the History of Chile
  13. Colombia
    1. The History of Colombia
      1. Discussion of the History of Colombia
  14. Ecuador
    1. The History of Ecuador
      1. Discussion of the History of Ecuador
  15. Mexico
    1. The History of Mexico
      1. Discussion of the History of Mexico
  16. Paraguay
    1. The History of Paraguay
      1. Discussion of the History of Paraguay 1
      2. Discussion of the History of Paraguay 2
  17. Peru
    1. The History of Peru
      1. Discussion of the History of Peru 1
      2. Discussion of the History of Peru 2
  18. Uruguay
    1. The History of Uruguay
      1. Discussion of the History of Uruguay 1
      2. Discussion of the History of Uruguay 2
  19. Venezuela
    1. The History of Venezuela
      1. Discussion of the History of Venezuela 1
      2. Discussion of the History of Venezuela 2
  20. Lessons from the Monetary and Fiscal History of Latin America
  21. Contributors

Discussion of the History of Peru 1

Mark Aguiar

Princeton University

The chapter on Peru by Martinelli and Vega provides a comprehensive and fascinating overview of Peru’s monetary and fiscal transition from high inflation to stabilization and then to several decades of low inflation and economic growth. In this discussion, I present a framework that links the political progress discussed in the chapter with positive economic outcomes. In particular, the simple model provides an explanation for why political reform, debt reduction, enhanced credibility, and growth are inextricably linked. I conclude by placing Peru’s experience in context with other emerging markets.

Figure 1 replicates the authors’ Figure 1 and depicts Peru’s GDP growth over the last half century. Peru’s post-1990 growth experience is striking. Figure 2 replicates the authors’ Figure 3, which documents the fiscal consolidation that took place in the 1990s and 2000s. Associated with this consolidation is a dramatic decline in debt, particularly external debt, as a fraction of GDP. This is depicted in Figure 3, which is the same as the authors’ Figure 8. At the same time as the fiscal and monetary stabilization, Peru began reforming its private sector, including a major privatization program. One result of this combination of policies was a sharp increase in inward foreign direct investment as a percentage of GDP, depicted in Figure 4.

This discussion provides a framework for understanding why this prudent fiscal policy led not only to monetary stability but also to a period of sustained growth and investment. To do so, I build on Aguiar and Amador (2011).

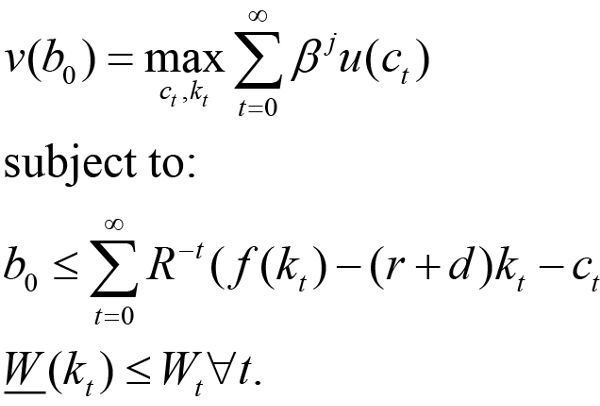
Consider a deterministic, discrete time environment in which a small open economy (SOE) operates a neoclassical production function. Specifically, output is f(k) when k is the stock of capital, all expressed in per capita terms, with f′(k) > 0 and f″(k) < 0. The SOE’s government has enough policy tools to choose per capita consumption c and the level of capital k each period. To simplify the exposition, suppose the capital is rented from a world market each period at a rate r + δ, where r is the world risk-free interest rate and δ is the rate of capital depreciation. See the Martinelli and Vega chapter for a more general framework in which capital is accumulated via investment. The important element is that capital is mobile between periods but is vulnerable to expropriation within a period.

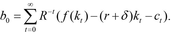
The government finances consumption and capital expenditures through current output and net borrowing and lending with foreign debt markets. In particular, external debt bt evolves according to the law of motion:

Figure 1. GDP per capita

Note: The figure replicates Figure 1 in the chapter by Martinelli and Vega; GDP is in 2007 soles.

Figure 2. Fiscal deficit

Note: The figure replicates Figure 3 in the chapter by Martinelli and Vega; see that chapter for details.

Figure 3. Domestic and external debt

Note: The figure replicates Figure 8 in the chapter by Martinelli and Vega; see that chapter for details.

bt + 1 = R(ct + (r + δ)kt + bt − f(kt)),

where R = 1 + r. Summing this equation forward from initial debt b0 and imposing a no-Ponzi condition, we obtain a present value “resource constraint”:

     (RC)

Any allocation {ct, kt} that satisfies (RC) is feasible for the government to implement.

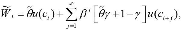
The representative domestic agent has preferences over consumption sequences, given by

     (1)

where is the discount factor and u(c) is a strictly increasing function. For simplicity, we shall assume ßR = 1, although this rules out some interesting debt dynamics that are discussed in Aguiar and Amador (2011).

The environment has two main frictions. The first is a political economy friction. In particular, suppose political parties randomly rotate in and out of power. Following the tradition of Alesina and Tabellini (1990) and Persson and Svensson (1989), a party prefers spending to occur while in power. In particular, suppose that the political incumbent enjoys utility while in power, where u(c) denotes the utility of the domestic representative agent. The incumbency bias is represented by . Assume there are N political parties, and with probability , party is in power. Transitions are independent and identically distributed, and hence there is a constant hazard γ that party n will be in power next period regardless of current incumbency. Aguiar and Amador (2011) implement a more general formulation in which incumbency affects the probability of being in power next period.

Figure 4. Foreign direct investment

Source: World Development Indicators

Note: The figure depicts net foreign direct investment as a percentage of GDP.

Given a sequence of consumptions {ct}, the incumbent at period t has value

where the term in square brackets in the continuation value captures the uncertainty regarding future incumbency. As this value is a constant, we can express the current incumbent’s value in normalized form:

     (W)

where is a parameter that summarizes the preference for incumbency combined with the probability of losing office. Note that aside from the risk of political transitions, the current incumbent shares the same discount factor as private agents, β. This construction results in political preferences that have a hyperbolic (or quasi-geometric) discount factor in the spirit of Laibson (1994). An increase in or an increase in turnover both increase θ, making the government more present biased.

In addition to the political economy friction, the other inefficiency in the environment is due to limited commitment. In particular, the government cannot commit to repaying debt and respecting capital property rights. The incumbent at time t always has the option of deviating from an allocation to increase current consumption. The consequence is a lower continuation value, as foreigners are no longer willing to trade financial assets or physical capital once the government has deviated. Aguiar and Amador (2011) specify microfoundations for the punishment. For this discussion, it suffices to posit a deviation value , with .

The environment builds on the neoclassical growth model, and hence capital is a focal variable that is subject to expropriation. That is, private investors are concerned about capital taxation or expropriation. It is not conceptually difficult to extend this environment to inflation and money balances. The mechanism described below that links debt reduction with enhanced credibility can therefore easily encompass Peru’s inflation stabilization as well.

We now characterize constrained efficient allocations in this environment. Specifically, consider allocations that maximize the representative domestic agent’s initial welfare subject to the resource constraint and a sequence of constraints that ensure each incumbent does not deviate:

     (P)

Let be the multiplier on the resource constraint and be the multiplier on the sequence of political participation constraints. The first-order condition for kt is

     (2)

The numerator on the right-hand side is the wedge between the marginal product of capital and the rental rate. The denominator is a strictly positive number. Hence, capital is distorted down if . That is, if the political participation constraint strictly binds, capital is depressed. This implies that lack of commitment to debt repayments and property rights puts downward pressure on the level of economic activity.

The first-order condition for ct is

     (3)

The first term in the brackets on the right is the role the resource constraint plays in determining the level of consumption: more initial debt implies a greater μ0 and a lower ct, all else constant. The second term sums the multipliers λs over s ≤ t. This sum is weakly positive and hence raises ct, all else constant. This reflects that ct enters the value for all previous political incumbents, and hence raising ct relaxes the political participation constraint for all prior governments. This is the usual “back-loading” incentive in models of limited commitment. The final term reflects that consumption in period t is of particular value to the incumbent in that period due to the political friction θ > 1.

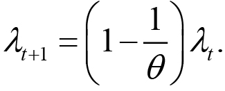
An interesting implication of (3) is that as . If this were not the case, then would diverge, violating the first-order condition. Hence, the economy eventually saves its way out of the constraints. From (2), this implies that , and capital achieves its first-best level.

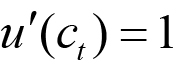
The fact that the steady state is the efficient level of production stems from the strong incentives to delay consumption in models of limited commitment when βR = 1. However, the speed at which kt converges to the efficient level depends on θt. To see this, suppose u is linear: . The first-order condition (3) then traces out the following first-order difference equation:

     (4)

The greater the political economy wedge θ, the slower the rate of convergence to the first-best level of output. Hence, more distorted political economy environments have slower growth.

To bring the model back to the discussion of fiscal and monetary stabilization, under some concavity assumptions on W, equation (2) implies that as , capital is increasing to its first-best level. This implies that the political deviation value is increasing over time. One can show that to ensure participation, this requires that consumption is growing and debt is declining. That is, as debt declines over time, both capital and consumption increase.

Credibility in this environment is earned by the reduction of debt, and the payoff is greater growth. This mimics the experience of Peru depicted in the figures above.1 A theme throughout this volume is the role that credibility of fiscal prudence plays in inflation stabilization. The same credibility plays a role in encouraging greater private-sector economic activity.

Peru’s growth experience via debt reduction is not unique. Gourinchas and Jeanne (2013) document that high-growth emerging markets tend to run current account surpluses; that is, growth is associated with net capital outflows. Aguiar and Amador (2011) dig deeper and document that this pattern is driven by the public sector reducing external indebtedness (or increasing foreign reserves, or both), combined with private-sector capital inflows. Figure 5 depicts the pattern for forty-five developing economies. On the horizontal axis is the change in public-sector net foreign assets (NFA) between 1970 and 2011 normalized by average U.S. dollar-denominated GDP, where public NFA is defined as foreign reserves minus public external debt expressed in dollars. On the vertical axis is annual average growth in real GDP over the same period. The positive slope indicates that countries that grow relatively fast also have increases in net foreign assets. That is, countries grow by reducing their net indebtedness.

Figure 5. Growth and net foreign assets (NFA)

Source: Data from the World Development Indicators

Note: Public NFA is defined as government foreign reserves minus external public and publicly guaranteed debt. The vertical axis is log change in real GDP between 2011 and 1970 divided by 41. The horizontal axis is the change over this period in U.S. dollar–denominated NFA divided by mean dollar-denominated GDP.

The three large dots in Figure 5 depict Peru’s experience. The dot labeled “Peru” is the data point for Peru over the entire sample. The two dots labeled “Peru 70–90” and “Peru 90–11” represent the subperiods 1970–90 and 1990–2011, respectively. The robust growth that Peru has experienced since 1990 coincides with a significant reduction in external debt. Viewed through the lens of the model above, the political stabilization post-1990 led to a coincident decline in debt overhang and faster growth. The chapter by Martinelli and Vega documents that the same forces led to inflation stabilization. While the political frictions in the model are taken as primitive, the exercise highlights that Peru’s improved political economy environment is consistent with the host of good economic outcomes discussed briefly above and in great detail in the fascinating analysis by Martinelli and Vega.

Note

  1. The chapter by Martinelli and Vega emphasizes growth through productivity. The simple framework of this discussion exhibits growth through capital intensity. However, the mechanism applies to any output-enhancing activity that is vulnerable to government expropriation or taxation. Many productivity-enhancing investments fit this class of activities.

    Return to note reference.

References

  1. Aguiar, Mark and Manuel Amador. 2011. “Growth in the Shadow of Expropriation.” Quarterly Journal of Economics 126 (2): 651–97.

  2. Alesina, Alberto, and Guido Tabellini. 1990. “A Positive Theory of Fiscal Deficits and Government Debt in a Democracy.” Review of Economic Studies 57 (3): 403–14.

  3. Gourinchas, Pierre-Oliver, and Olivier Jeanne. 2013. “Capital Flows to Developing Countries: The Allocation Puzzle.” Review of Economic Studies 80 (4):1484–1515.

  4. Laibson, David. 1994. “Hyperbolic Discounting and Consumption.” PhD diss., Massachusetts Institute of Technology, Cambridge, Mass.

  5. Persson, Torsten, and Lars E. O. Svensson. 1989. “Why a Stubborn Conservative Would Run a Deficit: Policy with Time-Inconsistent Preferences.” Quarterly Journal of Economics 104 (2): 325–45.

Annotate

Next Chapter
Discussion of the History of Peru 2
PreviousNext
Copyright 2021 by the Regents of the University of Minnesota
Powered by Manifold Scholarship. Learn more at
Opens in new tab or windowmanifoldapp.org