Skip to main content

The Case of Venezuela: The Case of Venezuela

The Case of Venezuela
The Case of Venezuela
  • Show the following:

    Annotations
    Resources
  • Adjust appearance:

    Font
    Font style
    Color Scheme
    Light
    Dark
    Annotation contrast
    Low
    High
    Margins
  • Search within:
    • Notifications
    • Privacy
  • Project HomeA Monetary and Fiscal History of Latin America, 1960–2017
  • Learn more about Manifold

Notes

table of contents
  1. The Case of Venezuela
    1. Introduction
    2. Economic Background
      1. Historical perspective
      2. Growth, volatility, and oil
      3. Fiscal accounts
      4. Public debt
      5. Exchange rate
      6. Money and inflation
    3. Analysis
      1. The Budget Equation
      2. Accounting Results
        1. Sources of financing
        2. Obligations
        3. Discussion
        4. Counterfactual transfers
    4. Conclusions
    5. Notes
    6. References

The Case of Venezuela

Diego Restuccia

University of Toronto and National Bureau of Economic Research

Major fiscal and monetary events, 1960–2017

1976

Nationalization of oil industry

1983

Balance of payments crisis and devaluation

Capital controls

1986

Default

1990

Brady Plan

1994

Banking crisis

2016

Hyperinflation

Introduction

In the postwar era, Venezuela represents one of the most dramatic growth experiences in the world. Measured as real gross domestic product (GDP) per capita in international dollars, Venezuela attained levels of more than 80 percent of that of the United States by the end of 1960. It has also experienced one of the most dramatic declines, with levels of relative real GDP per capita now reaching less than 30 percent of that of the United States. Understanding the features—institutional or policy driven—that determined such dramatic episodes of growth and collapse is of great importance. The purpose of this chapter is to take a small step toward understanding some aspects of the institutions and policies that may have contributed to these experiences. The focus is on the monetary and fiscal outcomes during the period between 1960 and 2016. While the connection of monetary and fiscal policies to long-run growth may seem tenuous, in the case of Venezuela, they provide a perspective on the extent to which the government was involved—directly or indirectly—in the determination of prices, the allocation of resources, and therefore, the outcomes.

Venezuela became an oil economy after the discovery of crude oil around 1913; today it has one of the largest proven oil reserves in the world. During the 1920s, oil production, at the time mostly done through concessions to foreign companies, was an important contributor to Venezuela’s structural transformation and development. Over time, discussions about the nationalization of the oil industry in the late 1960s and early 1970s brought a halt to this development even though nationalization was only formalized in 1976. For instance, total crude oil production declined substantially (55 percent) from its peak in 1970 to the mid-1980’s, and labor productivity in the oil industry declined by more than 70 percent in that period. In addition, the nationalization of the industry and its impact on fiscal policy implied that distortions accumulated over time as vast amounts of resources were being allocated by government officials and disparate policies, not by market forces. These distortions were exacerbated by the increase in oil prices in 1974—which led to a windfall in government revenues—and the larger volatility observed in oil prices since then. Oil represents an average of around 90 percent of all exports and almost 60 percent of government revenues during the period between 1960 and 2016. But contrary to some theories, such as that of “Dutch disease,” oil is not the problem of the Venezuelan economy; the problem lies in how the vast amounts of resources generated from oil were utilized.1 Other economies, such as Norway, have managed their oil wealth properly, with diametrically different economic outcomes.

Figure 1 documents the (log) real GDP per capita in Venezuela from 1960 to 2016. The figure illustrates the positive growth process between 1960 and 1977 and the subsequent decline and volatility. To put this growth process in perspective, note that between 1960 and 1977, average annual growth was only 2.3 percent, lower than the growth achieved by Venezuela in the decades prior and also lower than that observed for the United States during the same time period. An important element in this relative low growth is the process of nationalization of the oil industry. The period between 1978 and 1989 had a negative average annual growth of −2.6 percent, a remarkable economic collapse. From 1990 to 2016, annual average growth was −0.2 percent, with dramatic declines in output per capita of −19 percent between 2001 and 2002 (declines associated with political uncertainty and an oil strike), and of −30 percent between 2013 and 2016.

Figure 1. The log of real GDP per capita. Note: The logarithm of real GDP per capita, 1997 base prices in millions of bolivares.

Venezuela is also distinct from many other Latin American economies in that for much of the economic decline, Venezuela enjoyed a period of relative macroeconomic stability. Figure 2 documents the yearly inflation rate from 1960 to 2016. From 1960 to 1986, inflation was almost always below 30 percent, but since 1987 inflation has almost always been above 30 percent, with 80 percent in 1989, more than 100 percent in 1996, and more than 500 percent in 2016.

Only in recent years has Venezuela been suffering a more standard period among Latin American economies of hyperinflation, fueled by a substantial and systematic process of government deficits, which, in the absence of external credit, are being financed by seigniorage and the inflation tax. Figure 3 documents the government deficit as a proportion of GDP from 1960 to 2016. It also reports the primary deficit which excludes interest payments on public debt. In the 1960s and early 1970s, government deficits or surpluses represented around 2 percent of GDP (an average surplus of 0.9 percent of GDP), but starting in 1974, movements in government deficits were as high as 6 and 7 percent of GDP, with year-to-year variations of around 5 percentage points. Government primary deficits have become systematic and large in magnitude starting only around 2006, with an average of 3.6 percent of GDP between 2006 and 2016.

Figure 2. Yearly inflation rate (percentage). Note: The inflation rate is the percentage change in the consumer price index.

To make a systematic analysis of monetary and fiscal outcomes, I follow the conceptual framework of chapter 2 (the consolidated government budget equation) to account for the events that led to episodes of substantial inflation or a run-up in debt. Interestingly, and contrary to many other Latin American economies, the contribution to financing needs of the government does not rest with primary deficits or even commitments on government debt. Instead, a large amount of transfers to other decentralized agencies accounts for all the financing needs, which paradoxically usually occur during periods of oil revenue booms. During the entire time period between 1960 to 2016, seigniorage is the source of funds that accounts for most of the financing needs, while increases in internal and external public debt account for a substantial portion during some periods.

Figure 3. Government deficit to GDP (%). Note: Positive numbers represent a deficit and negative numbers a surplus. The primary deficit is the deficit minus the interest payments of public debt. Total deficit numbers for 2013 to 2016 are estimates.

This chapter is broadly related to the literature analyzing the growth experience of Venezuela, such as Hausmann (2003), Bello et al. (2011), and Agnani and Iza (2011), although the present analysis focuses on fiscal and monetary outcomes rather than specifically on growth.2

Da Costa and Olivo (2008) study monetary policy in the context of oil economies with an application to Venezuela. The paper is also broadly related to the literature on the resource curse, for example, Manzano and Rigobon (2001) and Hausmann and Rigobon (2003).

The chapter is organized as follows. In the next section, I present a background of the macroeconomic history of the Venezuelan economy. Section 3 performs the analysis from the accounting framework, and section 4 concludes.

Economic Background

I discuss the evolution of the main macroeconomic variables of the Venezuelan economy during the period 1960 to 2016, starting with a brief historical description. Bello et al. (2011) also provide a detailed description of Venezuela’s economic policies during this time period.

Historical perspective

Venezuela represents one of the most interesting growth experiences of Latin America. From the early twentieth century, Venezuela has experienced both a rapid and sustained period of income growth as well as a prolonged period of economic decline. To put these experiences in perspective, figure 4 documents the time path of real GDP per capita in Venezuela relative to that of the United States from 1900 to 2016. The series are from the Maddison Project Database, version 2018, which represents an update of the well-known historical data in Maddison (2010); see Bolt et al. (2018). As in Maddison (2010), the main series are constructed by taking GDP per capita from the latest round of international prices—in this case, the International the United States for both the 2011 benchmark prices (solid line) and the Comparison Program (ICP) 2011 benchmark—and extrapolating across years using constant-price GDP per capita growth in each country from national accounts. As a result, the time path of relative income closely reflects the actual growth process of Venezuela relative to the United States. However, the implied level of relative income depends heavily on which set of international prices is used to aggregate output, and as a consequence, relative income levels can vary substantially with different benchmark prices. For this reason, the new version of the Maddison data includes series of real GDP per capita that take into account multiple rounds of international prices. While it is meant to more accurately reflect differences in income at a point in time, it does not accurately reflect the process of growth in each country. Figure 4 reports GDP per capita in Venezuela relative to multiple benchmarks (dashed line).

From 1900 to 1920, GDP per capita fluctuated around 30 percent of that of the United States but since then has increased substantially to almost 80 percent in the late 1950s. Starting around 1960, relative income per capita declined systematically to levels that are now around 30 percent. Many observers associate the decline of the Venezuelan economy with the first oil price shock in 1974, but from this perspective of relative income growth we see that the decline started much earlier. Note that when we use the multiple benchmarks of the ICP, we see that relative income levels in Venezuela were much lower, around 10 percent between 1900 and 1940, rising to 40 percent in the late 1980s and later declining to levels between 15 and 30 percent. While the focus of the present study is to document and analyze the history of monetary and fiscal outcomes in Venezuela from 1960 to 2016, it is important to keep in mind the potential relationship between the events, policies, and institutional features that could have partly determined the economic performance of the Venezuelan economy in the more recent past.

Figure 4. Venezuela real GDP per capita (relative to US). Note: GDP per capita from the Maddison Historical Statistics Project; see Maddison (2010) and Bolt et al. (2018), Venezuela relative to the United States. The solid line is based on the 2011 ICP and growth rates in each country from national accounts, and the dashed line considers multiple ICP benchmark rounds.

As discussed in figure 1 in the introduction, the growth of real GDP per capita shows periods of positive performance as well as periods of strong volatility and decline. In describing the specific monetary and fiscal outcomes below, keeping in mind the following three broad periods in the Venezuelan economy is useful. First, from 1960 to 1977, real GDP per capita increased by 2.3 percent annually. It was a period of relative macroeconomic stability with negligible or low fiscal deficits and low inflation, and although debt was rising toward the end of the period, it was still relatively low. As I discuss below, this relative macroeconomic stability hides the strong changes that were occurring in oil production around the nationalization of the industry and with oil revenues which may have set the stage for worsening outcomes in later years. Second, from 1978 to 1998, real GDP per capita declined by about 1 percent annually and the economy went through substantial instability. This cycle of rising debt and inflation mitigated toward the end of the period. Third, from 1999 to 2016, real GDP per capita declined by −0.8 percent annually. It was a period of strong political and economic instability, with episodes of strong decline in economic activity accompanied by large and sustained oil price boom. An interesting natural question that arises is, what happened around 1977 to determine the fundamental change in relative macroeconomic stability? More research on this topic may be required, but the undercurrent from the analysis below hints at the important fall in oil production starting around 1970, associated with discussions of nationalization that were partially hidden in the macroeconomic accounts through large increases in real oil prices during the time. In fact, the failure of real oil prices to continue their previous growth appears to have triggered an important reduction in government spending and fiscal deficits, which may have brought the growth of economic activity to a halt.

Growth, volatility, and oil

The overall process of income per capita growth between 1960 and 2016 documented in figure 1 is associated with a noticeable change in the volatility of economic activity. I use the Hodrick-Prescott filter on the series for real GDP per capita to separate trend and cycle.3 I calculate that starting around 1974, economic fluctuations, defined as the difference between actual and trended real GDP, show a substantial increase. Between 1960 and 1974, the standard deviation of detrended real GDP per capita was 2.1 percent and increased to 6.8 percent for the period 1975 to 2016.4 To put these fluctuations in GDP in perspective, recall that the typical business cycle in the United States amounts to a standard deviation of filtered log real GDP of slightly more than 1 percent for the yearly series. Hence, economic fluctuations are orders of magnitude larger in Venezuela than in the United States, particularly for the period starting in 1974.

Three major changes provide context for the economic performance of Venezuela. First, the discovery of oil reserves in the early 1910s promoted a strong process of structural transformation whereby economic activity reallocated from agricultural and rural areas to the oil industry and urban areas. For instance, the share of agriculture in GDP declined from more than 30 percent in 1920 to currently less than 5 percent, whereas the share of oil production in GDP sharply increased from almost zero in the 1920s to around 35 percent in 1930, fluctuating around that level between 1930 and 1970 and then declining to levels around 20 percent during the process of nationalization of the oil industry in the early 1970s.

Second, nationalization, which formally took place in 1976, generated an important change in the operation and efficiency of the oil industry. To illustrate this process, figure 5 reports the production of crude oil in Venezuela (right axis) and labor productivity as barrels of oil per worker (left axis). Note the strong and systematic increase in oil production and productivity from 1920 until about 1970. The growth process of the oil industry is broken precisely around the time when discussions of nationalization took place in the late 1960s and early 1970s. For instance, in the decade between 1960 and 1970, oil production increased by 30 percent and labor productivity increased by 125 percent, whereas in the decade between 1970 and 1980, oil production declined by 41 percent and labor productivity declined by 59 percent. The decline in economic activity associated with the nationalization process is substantial: crude oil production declined by 55 percent from 1970 to the mid1980s, and labor productivity in the oil industry declined by 72 percent.

Figure 5. Crude oil production and labor productivity. Note: Production of crude oil is in millions of barrels. Labor productivity is the production of crude oil relative to employment in the oil sector. Source: Baptista (1997).

Third, as Venezuela became fundamentally an oil economy—weakened by the nationalization of the industry—it also became exposed to fluctuations in commodity prices. Crude oil prices were fairly stable, around US$2 per barrel, until about 1974 (see figure 6). Since then, crude oil prices have fluctuated tremendously, reaching almost US$60 in 1974 in real terms and US$110 by 1980, then dropping to US$20 in 1998, up again to US$100 in 2008, and then down to below US$40 by 2016.5 Note the tight association between oil prices and real economic activity, documented in figure 7. But the transmission of oil price shocks to economic activity is not through fluctuations in the oil industry, as discussed earlier; instead, it is through fiscal policy broadly defined. By law, the oil industry must supply all revenues in foreign currency to the central bank in exchange for domestic currency, and taxes are imposed on the industry that leave minimal margins for investment in the sector.

Figure 6. Crude oil prices. Note: The price of oil is expressed in US dollars per barrel. “Nominal” refers to current prices, and “real” refers to the price deflated by the US consumer price index (CPI). The data are from Inflation-Data.com, “Historical Crude Oil Prices (Table),” https://inflationdata.com/Inflation/Inflation_Rate/Historical_Oil_Prices_Table.asp.

Figure 7. Real GDP per capita and oil prices. Note: Real GDP per capita is in constant 1997 prices. Oil prices are deflated by the CPI in the United States.

Fiscal accounts

To illustrate the importance of oil revenues in the public finances of Venezuela, figure 8 documents the ratio of government revenues to GDP from 1960 to 2012.6 The figure also shows the oil and non-oil components of government revenue. In the 1960s, government revenues were about 16 percent of GDP, but in 1974, as a result of the first big oil price shock, revenues increased to more than 30 percent of GDP and have fluctuated around 25 percent since then, with positive and negative variations of more than 10 percentage points in a given year. On average, oil represents around 60 percent of total government revenues. Figure 9 illustrates how oil revenues are related to government expenditures. Again, we see a substantial jump in government expenditures in 1974 and substantial fluctuations since then.

Figure 8. Government revenues to GDP. Note: Revenues of the central government expressed as a percentage of GDP.

In contrast to many other countries where government expenditures appear countercyclical, in Venezuela government expenditures are procyclical.

Public debt

The larger income proceeds from oil generated a rapid increase in government expenditures and public expenditures more broadly defined. The public sector committed resources to large long-term expenditure projects such as the establishment of public enterprises in the mineral industry (aluminum, iron, steel, and coal). Heavy borrowing and the instability in oil revenues led to a rapid rise in public debt. Figure 10 reports the nominal stock value of total public debt to GDP and the value of internal public debt as a proportion of GDP. Public debt includes the central government and public enterprises whose debt is guaranteed by the central government, such as ALCASA, BAUXILUM, CADAFE, CAMETRO, and EDELCA, among others. It does not include the oil company (PDVSA), the central bank (BCV), and other financial public enterprises. There is no indexed debt and no zero coupons; bonds pay coupons every semester. The public debt in Venezuela is classified in two forms—internal and external—essentially differing on whether the debt is denominated in local currency or in US dollars. Traditionally, internal debt was contracted with domestic residents and external debt with foreign residents, but this distinction has blurred over time as domestic residents have used external bonds as an instrument to bypass foreign exchange controls. I follow the fiscal budget convention of valuing the stock of external debt at the end of each year at the official exchange rate. But in this context, it is important to note that in some periods, the wedge between the official and market exchange rates can be very substantial, and as a result, the ratio of debt to income can understate the real burden of the debt.

Figure 9. Government expenditures to GDP. Notes: Expenditures of the central government expressed as a percentage of GDP. Primary expenditures exclude interest payments on public debt.

Figure 10. Public debt-to-GDP ratio (percentage). Note: External debt is valued at the official exchange rate at the end of each year.

Figure 10 documents that between 1960 and the mid-1970s, public debt was less than 10 percent of income, and a large fraction of the total debt was internal debt. This characterization changed dramatically after the first oil price shock, and the debt-to-income ratio increased to almost 100 percent in the mid-1980s. Most of the increase is accounted for by external debt. To illustrate the importance of the exchange rate in the valuation of external debt, note that in the mid-1980s if the market exchange rate is used instead of the official rate, the debt-to-GDP ratio reaches more than 150 percent in 1986; and similarly, at the end of 2016, the wedge between the black market exchange rate and the official rate is a factor of 320-fold, which implies that the debt-to-income ratio exceeds 600 percent using the market rate instead of 6.3 percent under the official rate. Movements in the real exchange rate also play an important role in accounting for the variation in the debt ratio. Figure 11 shows the role of the movement in the real exchange rate in debt ratios by reporting the debt ratio using a constant 1960 real exchange rate. An important portion of the run-up in the 1980s is associated with changes in the real exchange rate.

Figure 11. Public debt-to-GDP ratio (percentage)—constant real exchange rate. Notes: External debt is valued at the official exchange rate at the end of the period. The constant real exchange rate keeps the real exchange rate at the level in 1960.

Just as with real GDP per capita, there is a close association between the increase in the external public debt and oil prices. Figure 12 documents the amount of external public debt in real US prices of 1960 and real crude oil prices, with the substantial increases in oil prices in the mid-1970s and late-1970s slightly preceding the sharp increases in real debt.

Also note the close association between the increase in public debt and international reserves. To put this link in context, figure 13 documents the debt-to-GDP ratio net of international reserves. While the level of debt ratios is lower when taking international reserves into account, the increase in debt ratios between the mid-1970s and mid-1980s is almost as substantial when neglecting the increase in reserves during the period.

Figure 12. Real public external debt and crude oil prices. Note: External debt is expressed in US dollars at constant 1960 prices. The crude oil price is also expressed in 1960 US dollars per barrel.

In the 1960s and early 1970s external debt represented around 50 percent of international reserves, increasing to more than 100 percent in the 1980s. The external debt reached more than 2 times the amount of international reserves at the end of 1986, increasing to more than 3.5 times by the end of 1988. This substantial run-up in debt by the government affected government finances because of the heavy load that the payments of principal and, to a lesser extent, interest represented as part of overall income. In particular, figure 14 shows the amount of public debt service as a proportion of government revenue. Debt service includes all payments related to public debt, inclusive of principal, interest, and commissions. The service of the debt represented less than 5 percent of government revenues between 1960 and 1974, increasing systematically after 1974, and reaching levels of 70 percent in 1986 and 90 percent in 1995. Similarly, figure 14 also shows the burden of external debt service as a proportion of international reserves. The level of external debt service to international reserves in 2016 is similar to that during the crises in 1989, which involved a severe adjustment of the nominal exchange rate.

Figure 13. Public debt-to-GDP ratio (percentage)—net of international reserves. Note: External debt is valued at the official exchange rate at the end of each year. Net of international reserves is internal debt plus external debt minus international reserves valued at the official exchange rate.

Exchange rate

Venezuela has experienced several exchange rate systems, from long periods of fixed exchange rates—in some cases, with multiple rates—to some periods of floating exchange rates. It has also experienced long periods with capital controls. A key feature of the exchange rate market in Venezuela in the last four decades is the fact that most of the supply of foreign currency is under the control of the central bank since the state oil company is required by law to sell all receipts in foreign currency to the central bank in exchange for local currency. This implies that even in periods of exchange rate flexibility, public officials have substantial discretion in the determination of the exchange rate. Figure 15 documents the lowest official nominal exchange rate at the end of the period between 1960 and 2016. This is the rate that prevails in fiscal accounts, and in particular for the valuation of external debt and associated payments, as well as for the conversion of foreign exchange revenues from oil exports. In some periods, this rate also prevails for imports of goods that are considered essential, and the administration of the allocation of foreign currency at this preferential rate has been a substantial source of corruption in the last four decades.

Figure 14. Debt service ratios. Notes: Debt service includes all payments related to internal and external public debt inclusive of principal, interest, and commissions. External debt service payments are valued at official exchange rates following the reporting of the interest payments in the government fiscal statistics. Total debt service is expressed relative to government revenues, and external debt service is expressed relative to international reserves.

Figure 15. Exchange rate (Bs./US$). Note: Official exchange rate in bolivares per US dollar. Exchange rate value at the end of the period. The real exchange rate is calculated as the nominal exchange rate times the price index in the United States relative to the price index in Venezuela and is normalized to 100 in 1960.

The two decades before 1960 represented a period of relative stability in foreign exchange in Venezuela. The exchange rate was unique and fixed during this period, owing to the positive capital flows from many European immigrants and the cumulative increase in oil production. Positive capital flows also came from new oil concessions granted by the government after the Suez Canal crisis in 1956. But the reopening of the Suez Canal in 1958, the fall of the ten year Jiménez dictatorship, and uncertainty surrounding the new democratic government meant that capital flows reversed, and in 1960, the government imposed the first capital controls, adopting a dual exchange rate. Pressure from negative capital flows meant that the government had to move the majority of imports to the higher exchange rate, effectively devaluating the currency. By 1964, the government abandoned capital controls by unifying the exchange rate at a higher rate of 4.45 bolivares per US dollar. From this point until February of 1983, Venezuela had a fixed exchange rate system with a single rate against the US dollar. This rate changed marginally from 4.5 to 4.25 to 4.3 bolivares per US dollar at different times. In February of 1983, a period now called Viernes negro (Black Friday), the government was forced to recognize the misalignment in exchange rate valuation and devalued the exchange rate to 7.5 bolivares per US dollar. The government maintained the fixed exchange rate system but established capital controls and multiple rates, with some activities remaining at the rate of 4.3 bolivares per US dollars.

From February 1989 to September of 1992, a floating exchange rate system was established. This period deserves special attention because 1989, at least from the official statistics, looks like a dismal year, with strong depreciation of the currency, high inflation, and economic contraction. A new government took office at this time, and paradoxically this is the period during which Venezuela had the most coherent economic policies in recent history. A key limitation in the implementation of the economic policies was that the new government inherited essentially a broken economy from the previous government: liquid international reserves were essentially nil compared with the large short-term obligations due in that year and the large deficits in fiscal and current accounts. This left no room for the new government to implement a more gradual adjustment in the severe misalignment of the exchange rate. Similarly, other key prices, which were repressed for many years, allowed for little manoeuvring in the price adjustment. To lend some viability to the economic reform program, Venezuela signed an agreement with the International Monetary Fund and in February 1990 signed the Brady Plan. The Brady Plan provided a restructuring of the debt, reducing the external debt by almost 30 percent, extending the maturity of the debt, and reducing interest payments.

From 1994 to 2003, several systems were tried, among them multiple exchange rates with capital controls and exchange rate bands, but in February of 2003, a fixed exchange rate system with a single rate was established. Strict capital controls were also established. The rate was changed from time to time. An important event during this period was a banking crisis that started in January of 1994 and extended to 1996. The origins of the crisis have been debated, but political turmoil from two military coups in 1992, the eventual impeachment of President Pérez in 1993, and a transition government with a newly elected government in 1994 provide a background for the events that unfolded. The banking system suffered from a loss of public confidence and the lack of a coherent plan from the new government generated a remarkable drop in the demand for money and capital flight pressures, which eventually lead to more than seventeen failed financial institutions (representing 60 percent of the assets of financial institutions and 50 percent of the deposits). Conservative estimates put the total cost of bailouts at 10 percent of GDP, but more careful estimates put this figure at 20 percent of GDP; see, for instance, García et al. (1998).

In the last few years, multiple rates, as well as different administrative units, have been established all involved in corruption scandals in the allocation of foreign currency at preferential rates. The misalignment of the official exchange rate and the black market rate has been so large, reaching factor differences of more than one hundred times between the market rate and the official rate—that the assignment of preferential dollars has been a contentious issue in Venezuela for more than a decade.

Figure 16. Inflation and money growth (percentage). Note: The inflation rate is the percentage change from the consumer price index. Money growth is the percentage change in the monetary base.

Money and inflation

Figure 16 reports the yearly inflation rate and the yearly growth in the monetary base for the Venezuelan economy. It is important to note that in many respects, the Venezuelan economy during the sample period was, and continues to be, a heavily regulated economy, including the implementation of price controls, especially for basic food and other essential products, interest rates, and exchange rates, among many other prices. Specifically related to inflation, the Venezuelan economy has experienced many episodes during which price controls resulted in severe shortages of essential food products in supermarkets. As a result, the spikes in inflation rates in some years have more to do with the relaxation of price controls (repressed inflation) rather than with current monetary and fiscal policies.

Figure 16 has two notable features. First, from 1960 to about 1984, the pattern of inflation resembles that of the United States, the country with which Venezuela has the highest share of imports and the country against which Venezuela has fixed its currency for long periods of time. Second, between 1985 and 1998, inflation has been persistently above 30 percent (in some years, more than 100 percent), and between 1999 and 2010, inflation has been persistently below 30 percent (even below 20 percent in some years). But starting in 2012, inflation and money growth have been on a different scale, reaching more than 200 percent in 2016. Starting in 2012–2013 and accelerating since then is a substantial process of money growth and inflation, reaching monthly rate changes of more than 20 percent by the end of 2016.

Analysis

The Budget Equation

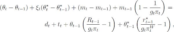
Since Venezuela has two main classifications of debt, internal and external, I modify the consolidated budget equation in chapter 2 to incorporate those two classifications. Indexed debt has not been used in Venezuela. The lack of data on the maturity structure of debt prevents a more disaggregated analysis. However, while short-term debt was used in some periods, the majority of debt issuance was long term (more than a year). In addition, available data from the World Bank’s world debt tables indicates that the average maturity of Venezuelan external debt was fairly constant at around ten years.

As discussed in chapter 2, the consolidated budget constraint can be written in terms of real GDP and in differences as follows:

     (1)

where θ is real internal debt to real GDP, θ* is real external debt to real GDP, ξ is the real exchange rate calculated as (E · PW)/P, m is the ratio of monetary base to GDP, d and t are the primary deficit and transfers to GDP, π and πW are the gross domestic and imported inflation, and g is gross real GDP growth. The first four terms on the left-hand side of equation (1) represent the sources of financing for the consolidated government: internal debt, external debt, seigniorage, and the inflation tax, and the four terms on the right-hand side represent the obligations: the primary deficit, transfers, internal debt payments, and external debt payments.

Note that transfers t is an important component of the consolidated budget and represents more than just extraordinary transfers. Part of these transfers include discounted debt issuance or repurchases that should be included in the returns to internal and external debt, R and r. It also includes a wide array of transfers between the central government and the nonfinancial public sector. Lack of disaggregated data prevents me from allocating these individual components into the appropriate terms in the budget equation. The approach that I follow is to calculate these transfers as a residual—essentially the residual that validates the budget equation every period.

Accounting Results

In each year, I compute the terms in equation (1). Table 1 reports the averages of the sources and obligations across subperiods and for the sample period between 1961 and 2016.

Sources of financing

For the entire period, average financing needs are 2.7 percentage points, but this magnitude changes dramatically across subperiods. From 1961 to 1974, the financing needs were small, an average of 0.5 percentage points (p.p.), and all of these needs were covered by the inflation tax. Note that on average, seigniorage was slightly negative (-0.04) and that inflation was moderate despite substantial money growth (recall figure 16). Strong positive growth in real GDP was also a factor. The period from 1975 to 1986 represents a major change in financing needs, with an average of more than 5 p.p., and two-thirds of these needs were financed with external debt issuance. The inflation tax accounted for a much smaller proportion than in the previous period but nevertheless still accounted for more than 25 percent of the overall needs. In the period from 1987 to 2005, financing needs declined substantially on average relative to the previous period to 0.2 percentage points. However, substantial variations can be seen across years, with increases of up to 9 p.p. in 2003 and decreases of −8 p.p. in 1992. The inflation tax represented the only positive source of financing on average in this period: more than 2 percentage points. The period between 2006 and 2016 represents a return to large amounts of financing needs on average, with 7.6 percentage points. Note that this period, as was the case in 1975–1986, is a period of a substantial and prolonged boom in oil prices. But differently from the earlier period, external debt is not an substantial source of financing; instead, seigniorage and especially the inflation tax are the sources that account for all of the financing needs, with 1.5 and 7 percentage points, respectively.

Table 1. Accounting results across subperiods

1961–1974

1975–1986

1987–2005

2006–2016

1961–2016

Sources:

(1) Internal debt0.010.64-0.04-0.670.01
(2) External debt-0.023.11-1.73-0.260.03
(3) Seigniorage-0.040.13-0.071.500.26
(4) Inflation tax0.571.432.077.042.41
Total0.535.310.237.612.71

Obligations:

(1) Internal return-0.17-0.46-1.14-2.10-0.90
(2) External return-0.120.970.660.420.48
(3) Primary deficit-0.91-0.45-0.863.610.03
(4) Transfers1.715.251.575.683.10
Total0.535.310.237.612.71

Note: Numbers represent percentage points of items in equation (1).

Figure 17 reports the time path in each year for each of the four terms on the left-hand side of equation (1). Panels A and B report the change in internal and external debt ratios, and panels C and D report seigniorage and the inflation tax. While external debt represents a substantial source of funds in some periods, seigniorage and especially the inflation tax are the most important systematic sources of funds in the sample period.

Obligations

I now analyze the elements that account for the changes in financing needs. Overwhelmingly, real transfers tt are the most important obligation, accounting for all of the financing needs of the government. On average, they represent more than 3 percentage points, whereas the primary deficit was negligible on average. Across subperiods, during the 1961 to 1974 period, 1.7 p.p. of transfers were compensated by close to 1 p.p. of government surpluses and negative returns to debt of 0.3 p.p., to reduce the overall financing needs to only 0.5 p.p. (see again table 1). In the 1975 to 1986 period, the large financing needs of 5 p.p. points are accounted for by transfers (5.3 p.p.) and payments on external debt (1 p.p.) and partly mitigated by primary surpluses of the government (−0.5 p.p.) and negative real internal debt payments (−0.5 p.p.). During the 1987 to 2005 period, the much smaller financing needs are explained by smaller transfers (1.6 p.p. versus 5.3 p.p. in the previous period), primary surpluses (−0.86 p.p.), and roughly offsetting real returns on government debt. For the 2006–2016 period, the much larger financing needs of 7.6 p.p. are accounted for by transfers of 5.7 p.p. and primary deficits of 3.6 p.p., with real returns to debt mitigating the burden of obligations.

Figure 17. Sources of consolidated government funds. Notes: The figure documents each element on the left-hand side of equation (1). Panel A is the period-by-period change in the ratio of real internal debt to real GDP (θt − θt−1). Panel B is the change in real external debt to real GDP using the real exchange rate ξt(θt* − θt*−1). Panel C is seigniorage . Panel D is the inflation tax

Figure 18 reports the time path of each of the four terms on the right-hand side of equation (1). Note how real returns on external debt are substantial burdens during the 1980s, 1990s, and early 2000s; the Brady Plan, signed in 1990, provided important relief in terms of real payments of external debt. Note also how primary deficits are not a systematic obligation component: most periods experienced a surplus, a pattern that clearly changed in the late 2000s and persists today, and primary deficits became a systematic and substantial component of the overall obligations of the government. The figure also shows how real transfers make up the large and systematic component that accounts for most of the financing needs.

Discussion

The last period, from 2006 to 2016, deserves special discussion because the unfolding crisis is much more closely aligned with the typical crises in Latin America where the logic of the budget accounting in chapter 2 holds, that is, the link between systematic government deficits, the eventual inability to finance those deficits, and subsequent seigniorage and inflation. This is also a period during which the distortions to economic activity, which have accumulated since the late 1990s, were drastically expanded. Several aspects of the economic environment are worth mentioning. First, note the extreme intervention of the public sector in economic activity through the expropriation of private enterprises and government intervention in the distribution system of goods. A decline in private production and the failure of expropriated enterprises have exacerbated the dependence of the economy on imports. Second, this is a period of rising debt, both internal and external, with the internal debt becoming the majority of new debt as external sources of financing became more limited toward the end of the period.

Figure 18. Contributions to consolidated government obligations. Notes: The figure documents each element on the right-hand side of equation (1). Panel A is the period-by-period real interest payments of internal debt . Panel B is the real interest payments of external debt . Panel C is the real primary deficit to real GDP dt. Panel D is the ratio of real transfers to real GDP tt.

Third, there was a decline in the transparency of debt statistics because a substantial portion of new debt was not accounted for in official statistics (e.g., loans from China in exchange for future oil and the fast rising new debt of the state-owned oil company PDVSA). Fourth, a partial reform of the central bank allowed for the discretionary use of foreign reserves. Fifth, there was a changing role in the PDVSA’s activities involving large transfers via misiones (off-budget programs) and FONDEN (the Fondo de Desarrollo Nacional or National Development Fund) for social programs. In addition, government intervention in the company’s activities meant shrinking production capacity and cash flows. As a consequence of these characteristics, and despite one of the largest oil price booms in recent history, the government found it harder to obtain new loans with mounting fiscal deficits, resorting to much more substantial seigniorage. This is also a period during which real GDP per capita and labor productivity were contracting: for example, real GDP per capita in 2013 was essentially the same as in 2007, and declined by 30 percent between 2013 and 2016.

As discussed earlier (see table 1), seigniorage and the inflation tax were the only two positive sources of financing during the 2006 to 2016 period. The much larger financing needs in this period—of 7.6 percentage points—are accounted for mostly by the inflation tax. Primary deficits and transfers account for all the obligations. But in particular, note that unlike in the other subperiods, primary deficits represent a substantial 3.6 percentage points, more than 45 percent of the financing needs of the period. This changing role of primary deficits starting around the mid-2000s is illustrated in figure 19, which documents the primary deficit and the primary deficit plus transfers as a proportion of GDP over time. Between 1961 and 2005, primary deficits were not a systematic component of the obligations of the government since they represented −0.8 percentage points (a surplus) on average. During this period of time, deficits were important in some short-lived periods in the late 1970s and around the 2000s. But the picture looks different in the mid-2000s, when government primary deficits became systematic and large and were exacerbated when including the transfers. The strong financing needs generated during the 2006–2016 period and the restricted ability of the government to borrow in domestic and international markets imply that the government turned more systematically to seigniorage and inflation as the primary sources of financing.

Figure 19. Primary government deficit and transfers to GDP (percentage). Note: Positive numbers represent a deficit and negative numbers a surplus. The primary deficit is the total deficit minus the interest payments of public debt. Primary deficits for 2013–2016 are estimates. Transfers are the residual estimates from the accounting.

Figure 20. Cumulative transfers and counterfactual debt. Note: Panel A reports transfers accumulated over time. Panel B reports the debt-to-GDP ratio in the data (solid line) and in the counterfactual situation of no transfers from equation (1), other things being equal (dashed line).

Counterfactual transfers

Transfers are an important component of the government accounts and help to account for much of the financing needs of the government. But as depicted in panel D of figure 18, the magnitude of the transfers shows a lot of volatility, making it difficult to appreciate the cumulative effect of transfers on the dynamics of debt. To assess the impact of transfers on total debt, I make a counterfactual simulation of debt, assuming that transfers are zero during the entire period. I use the government budget equation (1) to solve for the amount of debt (or sovereign fund) that would result as a consequence of no transfers, assuming all the other variables are the same (seigniorage, inflation tax, returns to debt, and primary deficit). For this counterfactual simulation, I assume that the composition of debt between internal and external remains the same as in the actual data in each period. Panel A of figure 20 reports the amount of cumulative real transfers as a fraction of GDP (the cumulative of tt) and panel B reports the debt-to-GDP ratio in the counterfactual and the data. Because Venezuela’s financing needs arise from large transfers in the late 1960s and early 1970s, without transfers, the debt would have quickly turned into a positive asset account, representing more than 180 percent of GDP by 2016. The cumulative effect of transfers is very large and rises quickly starting in the mid-1970s, as documented in panel A of figure 20, implying that debt quickly transforms into a positive sovereign fund of substantial size, as illustrated in panel B of figure 20, reaching 50 percent of GDP by 1990, 100 percent of GDP around 2000, and more than 180 percent of GDP in 2016, just short of the current 200 percent sovereign wealth fund of Norway as a fraction of their GDP.

Conclusions

I document the salient features of monetary and fiscal outcomes for the Venezuelan economy during the 1960 to 2016 period. Using the consolidated government budget accounting framework of chapter 2, I assess the importance of fiscal balance, seigniorage, and growth in accounting for the evolution of debt ratios. I find that extraordinary transfers, mostly associated with unprofitable public enterprises and not central government deficits, account for the increase in financing needs in recent decades. The inflation tax has been a consistent source of financing needs, especially in the last ten years, with increases in debt ratios being particularly important in some periods. Interestingly, debt exposure has increased in periods of oil price booms.

Notes

1. All dollar-denominated bonds were eligible, except for short-term instruments issued since January 2003 (De Brun and Licandro 2005).

2. The rating agencies considered it a default. S&P downgraded Uruguay’s public debt to Selective Default and Fitch downgraded to DDD in 2003. Uruguay inserted a collective action clause in the new bonds as well, which many believed would trigger a credit default swaps event because it changed the underlying structure of the debt.

3. In 2008, the Parliament approved a new central bank act that included the creation of the Macroeconomic Coordination Committee and the Monetary Policy Committee and set restrictions on the type of bailout operations for the central bank. Also, the Banking Supervision and Regulation Committee was granted greater technical autonomy from the central bank.

4. Collective bargaining has been active in Uruguay since 2005. Wage agreements in force since 2012 and 2013 have established clauses of periodic adjustments based on past inflation. This, together with a 10 percent inflation clause that triggers automatic wage increases in several sectors of the economy, resulted in a rigid nominal environment that favored inflationary inertia.

5. In September 2017, the annual deficit of the general regime of the pension system was 1.8 percent of GDP. The general regime excludes the retirement funds of the military, police, and bank officials, which have a deficit of 1.7 percent of GDP and are assisted by the government.

6. Between forty thousand and seventy thousand people, according to estimates by República AFAP, one of the main pension fund managers.

References

Agnani, B. and A. Iza (2011). Growth in an oil abundant economy: The case of venezuela. Journal of Applied Economics 14 (1), 61–79.

Baptista, A. (1997). Bases cuantitativas de la economía venezolana, 1830–1995. Caracas, Venezuela: Fundación Polar.

Bello, O. D., J. S. Blyde, and D. Restuccia (2011). Venezuela’s growth experience. Latin american journal of economics 48 (2), 199–226.

Bolt, J., R. Inklaar, H. de Jong, and J. L. van Zanden (2018). Rebasing maddison: new income comparisons and the shape of long-run economic development. Groningen Growth and Development Centre, University of Groningen: Research Memorandum 174.

Corden, W. M. and J. P. Neary (1982). Booming sector and de-industrialisation in a small open economy. The Economic Journal 92 (368), 825–848.

Da Costa, M. and V. Olivo (2008). Constraints on the design and implementation of monetary policy in oil economies: The case of venezuela. Technical report, International Monetary Fund WP/08/142.

García, G., R. Rodríguez, and S. Salvato (1998). Lecciones de la crisis bancaria de Venezuela.

Ediciones IESA. Caracas, Venezuela.

Hausmann, R. (2003). Venezuelas growth implosion: a neoclassical story? In D. Rodrik (Ed.), In search of prosperity: Analytic narratives on economic growth, pp. 244–70. Princeton University Press Princeton, NJ.

Hausmann, R. and R. Rigobon (2003). An alternative interpretation of the ‘resource curse’: Theory and policy implications. Technical report, National Bureau of Economic Research.

Hausmann, R. and F. R. Rodríguez (2014). Venezuela Before Chávez: Anatomy of an Economic Collapse. Penn State Press.

Hodrick, R. J. and E. C. Prescott (1997). Postwar us business cycles: an empirical investigation. Journal of Money, credit, and Banking, 1–16.

Maddison, A. (2010). Historical statistics on world population, gdp and per capita gdp, 1–2008 ad.

Manzano, O. and R. Rigobon (2001). Resource curse or debt overhang? Technical report, National bureau of economic research.

Annotate

Draft Manuscript
Copyright 2021 by the Regents of the University of Minnesota
Powered by Manifold Scholarship. Learn more at
Opens in new tab or windowmanifoldapp.org