Skip to main content

The Case of Bolivia: The Case of Bolivia

The Case of Bolivia
The Case of Bolivia
  • Show the following:

    Annotations
    Resources
  • Adjust appearance:

    Font
    Font style
    Color Scheme
    Light
    Dark
    Annotation contrast
    Low
    High
    Margins
  • Search within:
    • Notifications
    • Privacy
  • Project HomeA Monetary and Fiscal History of Latin America, 1960–2017
  • Learn more about Manifold

Notes

table of contents
  1. The Case of Bolivia
    1. Introduction
    2. Growth Accounting
    3. Periods of Economic Development in Modern Bolivia
      1. Stabilization and Growth (1960–1977)
      2. Debt Crisis (1977–1986)
      3. Recovery and Slow Growth (1986–1998)
      4. Financial Crisis (1998–2002)
      5. Nationalization and Growth (2002–2017)
    4. Budget Accounting Analysis for Bolivia
    5. Conclusions
    6. Appendix: Economic History of Bolivia Before 1960
    7. Notes
    8. References

The Case of Bolivia

Timothy J. Kehoe

University of Minnesota, Federal Reserve Bank of Minneapolis, and National Bureau of Economic Research

Carlos Gustavo Machicado

Institute for Advanced Development Studies (INESAD)

José Peres Cajías

Economic History Department, University of Barcelona

Major fiscal and monetary events, 1960–2017

1969

Nationalization of the Bolivian Gulf Oil Company

1972

First devaluation of the Bolivian Peso since 1958

1979

Balance of payments crisis

1982

De-dollarization program

1985

Hyperinflation

Stabilization plan, New Political Economy

1986

Tax reform

1995

Independence of central bank

1996

Pension reform

2005

Beginning of Multilateral Debt relief initiatives

2006

Nationalization of hydrocarbon companies

2011

Beginning of de facto nominal fixed exchange rate

2014

Fiscal balance turns to deficits

Introduction

In the early seventeenth century, Bolivia was so famous for its mineral wealth that Miguel Cervantes in his Don Quixote used the phrase “valer un Potosi” (to be worth a Potosi) to indicate something of great worth, referring to the Bolivian silver mining city of Potosi. The phrase had become popular in Spain in the late sixteenth century, and its use by Cervantes cemented it into the Spanish language, where it is still used today, often with a small p. Unfortunately, Bolivia’s exports of its proverbial wealth in natural resources—first silver, then tin, and now natural gas—have not prevented it from becoming the poorest country in South America in 2017, according to the World Bank’s World Development Indicators.1

We study Bolivia’s poor economic performance, focusing on its modern economic history, from 1960 to the present. Figure 1 presents a graph of the evolution of real GDP per working-age (15–64 years) person (WAP) in Bolivia, in which we divide its modern economic history into five distinct periods. The first period runs from 1960 to 1977 and is characterized by the most rapid economic growth that Bolivia has experienced. It is followed by the second period of debt crisis and hyperinflation, which runs from 1977 to 1986. The third period is a slow recovery that extends from 1986 to 1998. The fourth period is the 1998–2002 financial crisis. The fifth and final period starts in 2002 and runs to 2017. This period is characterized by growth—although not as rapid as that from 1960 to 1977—and, starting in 2006, by an increase in the participation of the state in the economy through the nationalization of enterprises in key economic sectors.

We develop a narrative for the uneven economic development depicted in figure 1 that focuses on monetary and fiscal policies, particularly on the external debt and the finances of state-owned enterprises. Our narrative is compatible with other theories for Bolivia’s uneven development. The most common narrative for Bolivia’s economic problems stresses that the country’s continuing dependence on the export of a few natural resources makes its economy sensitive to external shocks (see, for instance, Peñaloza Cordero 1985). Tin has accounted for at least 50 percent of total exports from 1904 to 1985. After a short period of export diversification, natural gas has accounted for at least 40 percent of total exports at the end of the twentieth century and throughout the twenty-first century. Many economists have stressed the country’s dependence on foreign aid, in terms of debt, grants, and foreign direct investment (Huber Abendroth et al. 2001; Peres-Cajías 2014). Other economists point to the low level of industrialization (Rodríguez Ostria 1999; Seoane 2016). Production of manufactured goods has been stagnated at about 15 percent of GDP since the early 1940s.

Although these narratives differ in their focus, they agree that government intervention in the economy has been the driving force in either promoting or impeding economic development. This government intervention took the form of intervening excessively in production activities in the 1960s, 1970s, and recently, and took the form of intervening in the allocation of resources through regulations in the 1990s and early 2000s. Given this common agreement about the centrality of government policies, we stress the need for a comprehensive analysis of these policies that focuses on the government’s intertemporal budget constraint.

A special feature of Bolivia’s modern economic history is that it has received subsidized loans. It has also defaulted frequently. Although it has been in default on some loans during every year in the period 1960–2009, Bolivia nevertheless has continued receiving loans. In fact, it is the only country in South America that has benefited from the joint International Monetary Fund–World Bank programs to reduce the debt of very poor countries: the Heavily Indebted Poor Countries (HIPC) Initiative and the Multilateral Debt Relief Initiative (MDRI).

Our general argument runs as follows: After the economic reforms that followed the National Revolution of the 1950s, Bolivia was well positioned for sustained growth. Indeed, Bolivia achieved unprecedented growth during the period 1960–1977. Mistakes in economic policies, especially the rapid accumulation of debt seen in figure 2, which was due to persistent deficits, coupled with a fixed exchange rate policy during the 1970s, led to a debt crisis that began in 1977. From 1977 to 1986, Bolivia lost almost all the gains in GDP per working-age person that it had achieved from 1960 to 1977. In 1986, Bolivia started to grow again, albeit slowly, interrupted only by the financial crisis of 1998–2002, which was the result of a drop in the availability of external financing. Bolivia has grown since 2002, but government policies since 2006 are reminiscent of the policies of the 1970s that led to the debt crisis. Particularly troubling have been the accumulation of external debt and the drop in international reserves due to a de facto fixed exchange rate since 2013.

As figure 3 shows, Bolivia has experienced only one period of hyperinflation, whereas other countries such as Argentina and Brazil have experienced multiple episodes of hyperinflation.2 In contrast to Argentina and Brazil, Bolivia adopted a fixed exchange rate policy over long periods, which has allowed it to maintain inflation at low levels.

We carry out a systematic data analysis of Bolivian monetary and fiscal policies and their effects on the economy. We use Kehoe and Prescott’s (2007) growth accounting analysis to identify the real impact of government policies, and we use Kehoe, Nicolini, and Sargent’s (2010) government budget accounting analysis to identify changes in government policies.

In section 2, we perform the growth accounting analysis. Section 3 describes the different periods or cycles of Bolivia’s modern economic history between 1960 and 2017. In section 4, we perform the budget accounting analysis. In section 5, we present our conclusions. We also provide an appendix in which we present a brief historical overview of Bolivia’s economic history before 1960, focusing on the National Revolution of the 1950s and its aftermath.

Growth Accounting

Figure 4 summarizes the macroeconomic history of Bolivia from 1960 to 2017 with the results of a growth accounting exercise based on those in Kehoe and Prescott (2007). We use a Cobb-Douglas production function for real GDP:

     (1)

where we cumulate investment deflated by the GDP deflator to measure capital and number of workers to measure labor. We employ a value of 0.42 for the capital share in the production function, following the estimate of Machicado (2012).3

The capital stock series is calculated using the perpetual inventory method, based on the law of motion for capital,

,     (2)

where is the depreciation rate that we assume is equal to 0.05, a standard value for yearly data.

Our growth accounting rewrites the production function (1) as

     (3)

where Nt is the number of working-age persons. The advantage of this growth accounting is that, in a balanced growth path, and Lt / Nt are constant, and growth in Yt / Nt is driven by growth in . Kehoe and Prescott (2007) apply this composition to data for the United States and use it to show that the US growth path is close to balanced: in particular, the growth in Yt / Nt is close to that in , and and Lt / Nt are close to constant.

In figure 4, there are four features worth noting. First, fluctuations in GDP per working-age person in Bolivia are driven mostly by fluctuations in total factor productivity (TFP). Second, during the 1960s and early 1970s, we observe a remarkable expansion in TFP that is almost completely lost during the debt crisis period. Third, although there was devaluation in 1972 and 1973, TFP continued growing; it is in 1978 that it starts to fall. Fourth, TFP falls in 1999 to 2001 because of the financial crisis.

The beauty of this growth accounting is that we can identify the deviations from balanced growth. In fact, in this chapter, we attempt to relate the major deviation from balanced growth in Bolivia to shocks, both internal and external, and to monetary and fiscal policy. Our hypothesis is that Bolivia followed economic policies up through 1985 that left it very vulnerable to shocks. Starting in 1985 with its new economic policy (NPE, Nueva Política Económica), the Bolivian government implemented a series of reforms that successfully isolated the economy from shocks, at least until 1998.

Periods of Economic Development in Modern Bolivia

Stabilization and Growth (1960–1977)

In 1956, the Bolivian government enacted the Eder Plan.4 The plan intended to reduce the liquidity available in the economy by cutting public expenditures and loans, and by liberalizing prices, beginning with the exchange rate and then prices for goods. The plan also modified budget procedures by including the deficit of public enterprises, established a mining royalty and new tariffs, and restructured the tax system.

The Eder Plan planted the seeds for the rapid growth that the Bolivian economy experienced subsequently because it managed to control inflation, reducing it from 178 percent in 1956 to 11.5 percent in 1960. In fact, between 1960 and 1969, the Bolivian economy grew by 3.0 percent in terms of GDP per capita, a rate higher than those of Brazil and Chile (2.6 percent). An important feature of this period is that external debt increased, mainly to finance macroeconomic stability and the fiscal deficit, in particular, to finance the expenditures of public enterprises. Overall, external debt increased from USD 181.5 million in 1960 to USD 1,476.9 million in 1977. Figure 2 depicts the evolution of the ratio of external debt over GDP. This ratio increased from 48.2 percent in 1960 to 60.3 percent in 1972 and then decreased to 46.7 percent in 1977.

As we can see in figure 5, between 1960 and 1970, private lending represented the largest source of external credit, although it fell during this period. In 1960, bilateral lending represented 30 percent of total debt, but in 1970 it represented only 22 percent. Multilateral lending increased during the 1960s but then decreased in 1970. In fact, during the 1970s and mid-1980s, multilateral lending was not very important and was below bilateral lending and far below private lending.

During the period 1960–1977, external financing was employed primarily in maintaining macroeconomic stability. In addition, the sustained net disbursements of debt generated a sustained positive balance in the capital account of the balance of payments, which was larger than the deficit of the current account. Therefore, there were net international reserve gains, as seen in figure 6. From 1964 to 1978, net international reserves as a share of GDP were positive, with its highest value of 8.1 percent in 1974.

In figure 7, we see that net transfers from international creditors were always positive and large, although very volatile, during the 1960s and 1970s. They increased from 3.9 percent in 1969 to 9.9 percent in 1970 and then fell to 0.2 percent in 1973, increasing again to 8.8 percent of GDP in 1977. According to figure 8, this was a period in which sovereign debt in default was low. There were some bonds in foreign currency that were in default during the 1960s, but then, between 1970 and 1977, the amount of foreign currency bonds in default was on average only USD 5 million, an amount so small that it is difficult to see in figure 8.

The Bolivian government maintained a fixed exchange rate regime during the Bretton Woods period, up until 1971. It devalued in 1972, but then maintained a fixed exchange rate again from 1973 to 1978. In figure 9, we see that during the fixed exchange rate regime, there was a steady real appreciation, with the exception of the 1972–1973 devaluation. We do not catalog the 1972 devaluation as a balance of payments crisis because it was not accompanied by a fall in international reserves, as seen in figure 6.

In the 1970s, Bolivia enjoyed favorable economic conditions that provided a basis for sustained growth. The country had access to vast foreign credit, and the export prices of mining and oil—the most important economic sectors—were high. According to figure 10, the trade balance had a surplus of 8.5 percent of GDP in 1974. Unfortunately, Bolivia did not take advantage of these favorable conditions because it failed to reverse the historical trend of being a producer and an exporter of raw materials. In fact, during this period, there was active criticism of fiscal policy, in part because most of the external resources were used to finance public enterprises and not to reduce social inequality.

Between 1960 and 1970, current revenues of the general government increased from 5.9 percent of GDP to 9.4 percent, while expenditures increased from 8.1 percent of GDP to 10.3 percent, as seen in figure 11. This allowed the fiscal deficit to decrease as a share of GDP. It decreased from 2.1 percent of GDP in 1960 to 0.9 percent of GDP in 1970.

In the 1970s, the trend of reduction of the deficit of the general government reversed. We see in figure 12 that the fiscal deficit increased from 2.4 percent in 1971 to 4.4 percent in 1977 as a share of GDP. The data in figure 13 show that, in the 1970s, the Bolivian government started running primary deficits when external conditions were favorable. In figure 13, the terms of trade are measured as the ratio of the export price index to the import price index, that is, the relative price of exports to imports. During the period 1974–1996, the correlation of the primary surplus with the terms of trade was −0.66, while during the other years that we study, 1960–1973 and 1997–2017, this correlation was 0.60. During 1986 through 1996, the government struggled to run primary surpluses as it recovered from the debt crisis even as the terms of trade deteriorated, as we discuss subsequently. During 1974 through 1985, however, the government ran primary deficits even as the terms of trade improved. The large fiscal deficits and primary deficits in the 1970s are explained mostly by a boom in public investments financed by a large inflow of external resources. According to Otalora (2002), during the years 1975–1979, there were currency surpluses that financed only a minor part of the public investments.

In figure 14 we can see that, while the general government reduced its debt during the 1960s and mid-1970s, public enterprises increased their debt from 8.4 percent of GDP in 1969 to 24.7 percent in 1973, remaining at around 19 percent of GDP in the 1970s. We interpret this as indicating that the fiscal problems came mostly from public enterprises.

Debt Crisis (1977–1986)

Between 1977 and 1986, Bolivia suffered an economic crisis of extraordinary proportions. During the 1970s, Bolivia, like other Latin American countries, enjoyed large inflows of credit, mostly from foreign currency loans from international banks. In the 1980s, the situation reversed and external credit was severely constrained or cut off. This period was also characterized by internal political chaos between 1978 and 1982, overlapping with the onset of high interest rates and a global recession. Between 1982 and 1985, Bolivia experienced a democratic opportunity, but with a political crisis in which the new administration, led by Hernan Siles Suazo from the Democratic and Popular Union (UDP), had little internal support; therefore, it had to rely on external support. The main internal opposition that confronted the government came from the Bolivian Labor Union (Central Obrera Boliviana), which was not just a confederation of guilds, with wage demands and stability of employment, but also viewed itself as a political party whose aspiration was to control the government (Toranzo 2009). Its main demand was a minimum wage that was 100 percent indexed to past inflation. By the end of the period, the average annual CPI inflation rate was above 11,000 percent, and the fiscal deficit was around 18 percent of GDP. Morales (1988) and other authors attribute the hyperinflation to the financing of the fiscal deficit by increased money printing. The data in figure 3 support their assertion.

External debt doubled from USD 1,476.9 million in 1977 to USD 3,642.5 million in 1986. As a share of GDP, debt jumped from 45.1 to 100.4 percent in one year (1981–1982), as seen in figure 2. Most of the increases in the external-debt-to-GDP ratio between 1977 and 1983 were due to real exchange rate depreciation, as seen in figure 2. The figure shows what the debt-to-GDP ratio would have been if the real exchange rate had been constant over 1960–2017 at its 1980 value. For example, we interpret the fact that, in 1983, the RER-adjusted debt-to-GDP ratio was only 36 percent of the debt-to-GDP ratio as indicating that 64 percent of the debt-to-GDP ratio in 1983 was due to the real exchange rate devaluation between 1980 and 1983, with the remaining 36 percent due to accumulated fiscal deficits.

The crisis that started in July 1978 with the resignation of President Hugo Banzer Suarez was a balance of payments crisis of the sort analyzed by Krugman (1979): the government had no other option than to devalue in 1979, as net international reserves were falling. Figure 6 shows that net international reserves as a share of GDP started falling in 1978, and by 1979 they were negative. The government fixed the nominal exchange rate again in 1980–1981, but reserves continued to fall, so there was no other option than to devalue. Inflation and dollarization followed.

In 1982, Bolivia ended a period of several military dictatorships. Democratic openness was accompanied by a severe economic, political, and social crisis. The disinvestment of large public enterprises and the sharp increase in financial obligations, related to servicing the external debt, were the main sources of the most severe crisis that Bolivia experienced in 1985. The crisis was characterized by hyperinflation, unemployment, and a worsening of living conditions.

The prevailing conditions in the international financial markets allowed Bolivia to increase its external debt by a factor of 1.8 between 1978 and 1985. The stock of external debt was USD 1,799.7 million in 1978 and USD 3,294.4 million in 1985. The data in figure 8 indicate that sovereign debt in default also increased sharply during this period, from USD 6.6 million in 1978 to USD 2,236.69 million in 1986. In 1986, Bolivia defaulted on all debt with all types of creditors, but most of this debt was in foreign currency bank loans and bilateral debt.

The political uncertainty involved in the return to democracy that characterized the early 1980s was reflected in the government’s debt policy. Even though there was an international movement in favor of a suspension of the service of debt, the Bolivian government renounced this possibility. International creditors, in particular the international banks, implemented a policy to solve the payment limitations of the large debtors, Mexico, Brazil, and Argentina, but they did nothing to solve the problems of the small debtors like Bolivia. In this setting, the Bolivian government decided to impose discipline on its external financial obligations to avoid punishment by the international creditors and to maintain its internal legitimacy. Notice in figure 7 that net transfers were negative between 1982 and 1985. This means that while Bolivia defaulted with some creditors, it paid others. In fact, this is a particular feature of Bolivia’s debt policy. It seems that it managed its debt portfolio by paying some creditors while acquiring new debts, possibly using some of the new debt to pay old debts.5

Figure 5 shows that there is also a change in creditors between 1982 and 1985. The relative weight of private creditors dropped to 22.8 percent because the government initially paid this debt. Simultaneously, the relative weight of bilateral creditors rose to 50.7 percent, which is explained by the support that the Bolivian government and other official organizations gave toward the democratic process initiated in Bolivia. Of course, the decision to pay as much debt service as possible had drastic implications for the economy. The ratio of debt service to exports of goods and services plus factor income from abroad reached 63 percent in 1984, which was an unsustainable level. We also observe in figure 10 that between 1978 and 1983, the trade balance increased from −7.5 percent of GDP to 4.3 percent of GDP and then fell abruptly. Rather than an abrupt sudden stop, the Bolivian economy went through a painful five-year cutoff of most foreign lending.

In 1985, the most severe economic crisis in Bolivia’s history occurred, characterized by a hyperinflation of unprecedented magnitude that occurred as a direct consequence of money printing to finance the fiscal deficit. Notice in figure 3 that inflation rate reached 11,750 percent (the corresponding inflation factor is 11,850 percent). As Milton Friedman stated, “Inflation is always and everywhere a monetary phenomenon in the sense that it is and can be produced only by a more rapid increase in the quantity of money than in output” (Friedman 1963). Figure 3 shows that hyperinflation coincided with a large increase in the rate of growth of the monetary aggregate M1. Thus, hyperinflation was a monetary phenomenon in Friedman’s sense, but the need to print this money came from fiscal problems and problems with external debt, as we have discussed. Notice, however, that M1 did not increase as much as did the price level, nor, except for 1985, the year of the hyperinflation, did the increases in M1 exactly coincide with the increases in the price level.

The decline in tax revenues, that is, of current revenues, and the increase in current expenditures during the years 1978–1979 pushed up the fiscal deficit. The increase in the fiscal deficit coincided with a decline in exports as a percentage of GDP driven by a decline in quantities exported rather than a decline in export prices, since we can see in figure 13 that this was a period in which the terms of trade were improving. Because most Bolivian exports were produced by public enterprises, the decline in the quantities exported is a clear sign of their inefficiency.6 At the same time, there was also an increase in external debt service and a decrease in disbursements of external debt. All of these factors contributed to the deterioration of the financial position of the National Treasury (TGN), which drove the increases in primary deficits, not only in the later years of the 1970s but also during the following years. Notice how the fiscal and primary deficit rose in the early 1980s, reaching levels of 17 percent and 15 percent of GDP, respectively, in figure 12.

In figure 15, we observe that the deficit of the nonfinancial public sector (NFPS) increased after 1982. In 1983, it was 17.0 percent as a share of GDP, and after a year it rose to 21.2 percent of GDP. The growth in the deficit is explained in part by the Olivera-Tanzi effect (see Tanzi 1977) and also by an increase in government spending due to the wage policy that was implemented. In the figure we can also see that seigniorage allowed the government to cover most of its deficit.7

There are two aspects worth noting about the economic instability in the late 1970s and early 1980s. First, as the crisis deepened and external financing options were limited as foregin lending was cut off, the government developed a greater confidence in the inflation tax as a mechanism of financing. This reliance on seigniorage encouraged outflows of capital and the public’s use of foreign currency, especially dollars. Second, because the banks had guaranteed access to dollars, they rejected payments in national currency for foreign currency–denominated debt, thus creating a parallel exchange market where borrowers kept buying dollars, which they kept as a store of value to protect against devaluation and inflation (see Antelo 1996).

The lack of fiscal discipline led the government to eliminate deposits in foreign currency in the domestic financial system and to impose capital controls. By the end of 1982, several attempts were made to stabilize the exchange rate. An official exchange rate was established with state control of foreign exchange, based on controls on foreign trade and compulsory delivery of foreign currency to the state. In addition, the Foreign Exchange Policy Commission was created to allocate the scarce foreign exchange according to criteria and rules determined by the government.

One of the measures to restrict the use of dollars was the “de-dollarization” program, which consisted of converting all obligations contracted in dollars or with value maintenance into national currency, including deposits in the banking system, at the exchange rate determined by the government on a given day. This measure created a mismatch in the banking system, hurting creditors and those with deposits in foreign currency in the banking system, but favoring debtors. The policy of de-dollarization failed because dollar transactions actually increased, and the government had to refinance debts and deposits in dollars with currency creation, thus increasing inflation (see Cariaga 1996). This program also generated a bank run and a subsequent government bailout of the banks, as seen in figure 16. Deposits in banks as a share of GDP fell from 14.8 percent in 1982 to 4.0 percent in 1985.

Morales (2012) argues that the de-dollarization program produced a liquefaction of the government’s short-term debt, insofar as the foreign currency (or value maintenance) reserves of the banking system in the Banco Central de Bolivia had been used to partially finance the fiscal deficit. According to Antelo (1996), the de-dollarization program had four goals: first, to reduce the demand for dollars by giving back to the government control over the money supply and to concentrate the stock of dollars in external debt repayments; second, to restore the government’s ability to raise funds through inflation; third, to encourage sectors stifled by their dollar debts; and, fourth, to lower investment costs in industry, whose debts denominated in dollars increased with real exchange rate depreciation. The de-dollarization program failed to accomplish these objectives, however, and financial disintermediation and informal dollarization followed.

Recovery and Slow Growth (1986–1998)

The year 1986 marked the beginning of a period of recovery and growth and the replacement of the state by the market.8 In fact, in the second half of 1985, a restructuring process was initiated that had two main objectives: first, to stabilize the economy and, second, to implement structural reforms in which national or foreign enterprises would be the main economic actors. According to Antelo (2000), the structural reforms implemented in Bolivia were framed in line with the Washington Consensus. This period lasts until 1998 and includes different subperiods of structural reforms: economic stabilization and first-generation reforms (1986–1989), deepening of the first-generation reforms (1990–1993), and second-generation reforms (1994–1997).9 The seed of these reforms was the new economic policy, the NPE (Nueva Política Económica). The NPE was a stabilization plan whose primary objective was to reduce inflation and generate foreign resources. The structural reforms included the liberalization of goods and financial markets, capitalization through privatization, a tax reform, commercial policies in favor of exports and foreign direct investment (FDI), and fiscal decentralization among municipalities. It was a period characterized by slow growth; GDP per WAP growth was on average 1.1 percent per year between 1986 and 1998.

The NPE was implemented in August 1985, with Supreme Decree 21060. This stabilization plan was enacted to confront the crisis, stop hyperinflation, and stabilize the economy. It was part of a broader structural adjustment program aimed at changing the whole function of the economy by reducing the influence of the state on production, increasing reliance on the price system in the markets for goods, labor, and capital, and promoting private-sector initiatives. As Jemio (2001) indicates, the framework of incentives adopted under the NPE included free convertibility of foreign exchange, elimination of price controls, reduced government intervention in labor contracts, financial liberalization, and commitment to price stability. All these actions were designed to encourage greater private-sector participation in the economy. The core of this stabilization program was based on exchange rate unification, drastic measures to control the fiscal deficit, and a very tight monetary policy.

Starting in 1981, the Bolivian government had maintained a system of dual exchange rates, an official exchange rate and a parallel, that is, market, exchange rate. In 1986, the government unified these exchange rates with the liberalization of the exchange market, accompanied by restrictive monetary and fiscal policies, and an ingenious mechanism of intervention by the Banco Central de Bolivia, known as “El Bolsin.” In the Bolsín, the demand for foreign exchange that could not be satisfied by private operators was covered by the Banco Central de Bolivia through an American auction with a base or reserve price. The price resulting from this operation served to define the official exchange rate. Once the exchange market was controlled, the devaluation rate of the parallel exchange rate with the US dollar was reduced from almost 7,300 percent in 1985 to 13 percent in 1987. After that, a crawling-peg regime was adopted with mini-devaluations, as seen in figure 9. This regime lasted until 2005, when a real appreciation recurred.

The NPE allowed the possibility of transacting in US dollars within the financial system, and with the reestablishment of foreign currency deposits, a formal financial system based on the US dollar was established. A bimonetary system was established where transactions could be made in dollars or in local currency. This, in combination with the crawling-peg regime, generated the incentives for an increase in dollarization from 48.3 percent in 1986 to 90.1 percent in 1997, as seen in figure 17.

Macroeconomic stabilization was achieved in two years. Antezana (1988) explains that stabilization was achieved by a combination of fiscal and monetary policy. Fiscal policy reduced public expenditure and increased revenues by raising prices and taxes on goods and services sold by the public sector, mainly fuels. Monetary policy aimed to control the money supply by tightly restricting net lending to the public sector and to development banks. The inflation rate was reduced from more than 11,000 percent in 1985 to 276.3 percent in 1986 and to 14.6 percent in 1987, as seen in figure 3.10

Monetary policy was fundamental in stabilizing prices. Supreme Decree 21060 required the Banco Central de Bolivia to submit a monetary program to the Ministry of Finance with reports every ten days to allow the Ministry of Finance to closely monitor the money supply. This mechanism made it possible to coordinate efforts to reduce the fiscal deficit with control of fiscal credit, both to the National Treasury and to decentralized entities, public companies, and departmental and local administrations. Although the Ministry of Finance monitored the monetary management, the Banco Central de Bolivia defined its operational objectives independently. In this way, monetary policy ceased to be subordinated to fiscal financing needs.

Hyperinflation left the country with no way to pay its external debt. Therefore, the NPE aimed to promote exports so as to generate foreign resources. The orientation of the NPE in terms of its relationship to the multilateral organizations was linked to a solution of this incapacity to pay the debt. As the general government was the main debtor, as seen in figure 14, one of the first objectives of the NPE through the Structural Adjustment Program (PAE for its initials in Spanish) was to reduce and control the fiscal deficit. Therefore, in May 1986, a new tax structure was imposed.11

A priority of the NPE was the reduction and payment of the accumulated foreign debt. In February 1987, the 131 creditor banks of Bolivia approved a refinancing agreement (Enmienda al Convenio de Refinanciamiento) from 1981 in which these banks had the opportunity to purchase bonds in the secondary market and also exchange the debt for investment bonds. The solution consisted of the buildup of a fiduciary fund administered by the International Monetary Fund so that it could collect resources donated by the developed countries and move them to the secondary market to acquire debt at a lower price. In this way, Bolivia reduced its commercial debt by purchasing it in the secondary market at 11 cents per dollar. This form of reduction was also supported by the approval of the Brady Plan. Between 1987 and 1989, Bolivia reduced its external debt by USD 797.4 million.12

The success of this repurchase of debt led to a second round. Between 1992 and 1993, external debt was bought in the secondary market at a value of 16 cents per dollar. This operation also allowed exchanging debt for short- and long-term bonds. In sum, these operations contributed to reduce the external debt by USD 170 million. Furthermore, in 1989 the Banco Central de Bolivia issued investment bonds with the aim of exchanging them with international private debt. The bonds had a present value of 11 cents per dollar, and they were redeemed in 25 years.13

In terms of bilateral debt, the Bolivian government appealed several times to the Paris Club to reschedule its debt with governments and official organizations. Due to the fiscal crisis, in July 1988, the government entered into an agreement with the International Monetary Fund called the Servicio Reforzado de Ajuste Estructural (SRAE). This program allowed the Bolivian government to continue to reschedule its debt with the Paris Club. As a result of all these negotiations that started in 1986 and ended in 1996, Bolivia managed to reduce its external debt significantly. Table 1 presents a summary of the debt negotiations according to the type of creditors, and figure 18 shows the debt reductions achieved by these two types of renegotiations.

Table 1. Debt Negotiations According to Creditors

Private

Bilateral

Multilateral

1988 (buyback)1986 (Paris I)1998 (HIPC-1)
1992 (buyback)1988 (Paris II)1999 (HIPC-2)
1990 (Paris III)2005 (MDRI)
1992 (Paris IV)
1995 (Paris V)
1996 (Paris VI)

Source: Banco Central de Bolivia.

As a result of the structural reforms, in particular the privatization of public enterprises, in the 1990s, there was a large inflow of foreign resources in the form of FDI. The entry of foreign enterprises in strategic sectors such as oil, energy, and telecommunications allowed the economy to resume its growth. On average, the economy grew by 2 percent between 1990 and 1997 in terms of GDP per capita. In 1994 the rate of growth was 2.3 percent as a result of capitalization, but the ratio of external debt to GDP reached a maximum value of 75.1 percent. This ratio then declined to 57.3 percent in 1997, a value that was still high for a country that needed to reverse its poverty levels. Nevertheless, the state-owned enterprises reduced their debt as a percentage of GDP, due to the capitalization program, from 11.6 percent in 1995 to 1.2 percent in 2005.

The composition of debtors also has changed dramatically since the implementation of the PAE, as seen in figure 14. Since 1985 the general government, and in particular the central government, appears as the principal debtor, absorbing 74 percent of total debt in 1997. The central government allocated these resources primarily to public investment because the tax policy thus far did not generate sufficient internal resources to cover capital and current expenditures. The financial public sector (Banco Central de Bolivia and specialized banks) appear as the second debtor. Its relative weight doubled in ten years, and it represented 18.7 percent of total debt in 1997.

During this period, sovereign debt in default was also large. In particular, we see in figure 8 that in 1995 Bolivia defaulted in USD 1,363 million of its bilateral debt, and in 1996 and 1997 it defaulted in USD 669.1 million and USD 417 million, respectively, of its multilateral debt. By that time, multilateral debt represented 40 percent of GDP, and it was already the largest component of total debt.

The NPE allowed a reduction of the fiscal deficit of the NFPS from 8.1 percent in 1985 to 2.3 percent in 1986, with the reversion of the Olivera-Tanzi effect, because inflation was drastically reduced. In 1987, however, the fiscal deficit of the NFPS increased again to 6.8 percent of GDP, as seen in figure 15. Therefore, a tax reform was implemented with the goal of achieving fiscal balance. Between 1989 and 1997, the fiscal deficit was on average 3.8 percent of GDP. During the 1990s, the privatization programs that the Bolivian government implemented helped to reduce the deficit to 1.8 percent and 1.9 percent of GDP in 1995 and 1996, respectively.14

Financial Crisis (1998–2002)

From 1998 to 2002, the economy entered a slowdown phase, induced by external shocks: a deterioration in the terms of trade and the reversal in capital flows. During this period, financial flows, with the exception of FDI, reversed significantly. FDI remained at relatively high levels (USD 770 million on average per year) because the capitalized companies were still accomplishing their investment commitments.

Public external debt increased to finance the growing fiscal deficit resulting from the economic slowdown and the implementation of structural reforms. Among them, pension reform implemented in 1996 had a significant fiscal impact. Bolivia passed from a system of mutual funds to a system of individual capitalization. In 1999 the fiscal deficit of the NFPS was 3.0 percent of GDP, but the fiscal deficit without pensions was indeed a surplus of 0.7 percent of GDP. In 2002 the fiscal deficit was 8.5 percent, from which half represented pensions.

In September 1996, the International Monetary Fund and the World Bank created the Heavily Indebted Poor Countries (HIPC) Initiative to give financial support to a limited number of countries characterized by poverty and with medium-term external financial obligations in terms of debt service that were higher than what these countries were able to afford. The argument was that reducing the external debt for these countries would free up greater resources that could be used to attack poverty. This was the first time that a debt forgiveness program included multilateral debt, which, as we have seen in figure 5, accounted for most of Bolivia’s debt by the end of the 1990s.

The International Monetary Fund and World Bank imposed conditions in terms of macroeconomic policies and structural reforms as part of the concession of the HIPC debt reduction. Bolivia met all of these conditions and, being a poor country, was selected to participate in this initiative. Through the HIPC I program, implemented in 1998, the accorded reduction of multilateral debt was equivalent to 24 percent of the stock debt by the end of 1998 in the next forty years, although the largest part of this reduction would be effective in the first years. The application of this program managed to reduce the debt service over exports to 25.5 percent in 1999. Nevertheless, the negative external shocks that began in 1999 offset the beneficial results of the HIPC I. The service of the external debt and the worsening of the terms of trade drastically reduced the level of national savings. There was a huge drop in output and exports, and the negative balance of the current account could be compensated only with the inflow of FDI. As can be seen in figure 2, the debt as a share of GDP remained constant during these years at an average of 55 percent.

The HIPC II initiative made it possible for Bolivia to obtain additional resources through the forgiveness of the debt with the approval of the so-called Bolivian Strategy for Poverty Reduction. The HIPC II strategy consisted of the reduction of multilateral debt in fifteen years, starting in 2001. The application of the HIPC I and HIPC II initiatives allowed an increase in forgiveness of the average debt of 1999–2000 by 44 percent. This initiative allowed a reduction of external debt of USD 50 million between 1999 and 2000, which represented 2 percent of GDP, but this reduction was not sufficient. Indeed, in 2001 the external debt represented the same proportion of GDP as it did in 1999, as seen in figure 2.

The data in figure 12 show that fiscal problems worsened at the beginning of the 2000s. The fiscal deficit shot up between 2000 and 2001. The fiscal deficit increased from 3.9 percent to 7.2 percent, and the primary deficit increased from 2.2 percent to 5.2 percent. These fiscal problems made it impossible for the government to continue paying its debt obligations; therefore, in 2001 we also observe large amounts of sovereign debt in default. Bolivia defaulted by USD 685 million in its bilateral debt and by USD 488.4 million in its multilateral debt, as seen in figure 8.

The period 1998–2002 is characterized as a financial crisis. Jemio (2006) explains that, starting in 1998, the Bolivian economy experienced a drop in the growth rate, high unemployment, and financial disintermediation. The financial sector suffered the most, experiencing a credit crunch due to the contagion effects of the international financial crisis through lower capital and commercial flows and policies followed by other countries.

The contraction of international demand reduced prices of the main export commodities, affecting the income of the exporting companies, and deteriorating their cash flows and their capacity to service the debts contracted. The trade balance as a share of GDP fell to −12.9 percent in 1998, as seen in figure 10. Additionally, the economy was affected by a lower availability of external financing, since in the years before the crisis there had been an outflow of capital, especially capital intermediated by the financial system.

This situation resulted in a fall in international reserves and a contraction in the money supply. Figure 6 shows that net international reserves fell from 13.2 percent to 10.8 percent of GDP between 2001 and 2002. The lack of liquidity accentuated the fall in the pace of economic activity. Finally, the devaluation of the Brazilian real represented a loss of competitiveness of the traded goods sector and exerted pressure on the exchange rate. The rate of depreciation of the real exchange rate was 5.0 percent in 2000, but it increased to 8.1 percent and 9.2 percent in 2001 and 2002, respectively, as seen in figure 9.

Monetary and fiscal policies were procyclical. Monetary policy tried to maintain stable growth through payments by using open market operations, domestic credit, and to a lesser extent, the level of bank reserves. Fiscal policy restricted public investment as a way to reduce the deficit, amplifying the effect of real shocks. The financial system responded to this situation by rationing credit, and this was encouraged by the enactment of a stricter prudential regulation by the Superintendency of Banks and Financial Institutions (SBEF) in November 1998. This resulted in portfolio declines; increases in the reserves of banks; lower interest rates, deposits, and loans; and an increase in bank spreads.

The regulations in force until 1998 allowed an overexpansion of bank credit during the 1990s, but this increased the risk of the financial system and was one of the main causes for the subsequent contraction of credit since 1998. Although the change in regulations introduced by the SBEF in November 1998 was aimed at correcting this contraction by obliging banks to increase their loans, it had the opposite effect because it was too late. According to Morales (2012), between 1999 and 2003, the banking system had reduced its deposits by 24.6 percent and its loans by 43.4 percent.

Nationalization and Growth (2002–2017)

The slowdown that began in 1999 created a climate of social and political conflict, which became critical after 2002 when a new president was elected.15 The economic and social crisis that the new president inherited created uncertainty for investment and deposits. Morales (2012) explains that the unexpected results of the elections increased the nervousness of the depositors in the financial system. As a result, there was a huge outflow of deposits between June and July 2002. In six weeks, the financial system lost 23 percent of total deposits. In fact, deposits as a share of GDP fell from 49.0 percent in 1998 to 35.4 percent in 2006, as seen in figure 16.

In 2002, indicators pointed to a worsening of the crisis as neighboring countries were having serious financial problems. According to Morales (2012), the abandonment of the convertibility and the moratorium on the Argentinean debt, the Uruguayan banking crisis, and the rapid depreciation of the Brazilian real, together with the instability within Bolivia, posed serious threats to the financial system. The structural reforms that had been made in the 1990s, however, endowed Bolivia with an unexpected robustness, and, consequently, economic collapse was avoided.

What could not be avoided was political collapse. In 2003, when the fiscal deficit had reached unsustainable levels—8.9 percent in 2002 according to figure 12—the government decided to implement an income tax, which had never previously existed nor does it today, in the Bolivian economy. This policy generated a resounding rejection by the entire population. Political turmoil ensued. In October 2003, after having lost its legitimacy and having serious conflicts in the city of El Alto, the government elected in 2002 was forced to resign.

International economic conditions began to recover in 2003, but most importantly, Bolivia increased its natural gas exports to Brazil. The value of natural gas exports increased from USD 265.5 million in 2002 to USD 389.5 million in 2003. In addition, an increase in the prices of Bolivian exports produced an export boom. The trade balance had a large surplus between 2004 and 2014, as seen in figure 10. GDP growth also increased, although not to the levels of 1960–1977. Between 2002 and 2017, growth in GDP per WAP averaged 2.6 percent per year.

Even though the economy was showing signs of recovery, the social and political instability continued because the presidents who followed Sanchez de Lozada did not have sufficient support in the Congress. In addition, the export boom, mainly from the hydrocarbon industry, led to political debate about how incomes were distributed. Recall that the hydrocarbon sector was controlled by international companies, and the government received only taxes from exports.

In 2005 there were new elections, won by Evo Morales, who became president in January 2006. With his administration, a new economic vision was implemented. The year 2006 began a period characterized by a return to an economy in which the state played the leading role through the nationalization of the main companies in strategic sectors such as oil, electricity, and telecommunications. These companies were previously under private ownership.

The extremely favorable international conditions of high commodity prices, along with the nationalization of the hydrocarbon sector, allowed Bolivia to experience, for the first time in its modern economic history, a continuous nonfinancial public-sector surplus between 2006 and 2013. Figure 12 shows that the fiscal surplus was 4.5 percent of GDP in 2006 and that it remained at an average of 1.8 percent until 2013.

The stock of foreign debt as a share of GDP declined from 55.4 percent in 1999 to 51.9 percent in 2005, as seen in figure 2. The largest decrease in debt occurred after 2006, however, when the stock of debt was reduced to 28.4 percent of GDP in 2006 and to 16.8 percent of GDP in 2007. This decline represented USD 2,732.9 million. Starting in 2008, the stock of foreign debt remained around 15 percent of GDP, but, starting in 2015, it has increased, reaching 25.3 percent of GDP in 2017.

In 2005, during a meeting of the G8 countries, a complete forgiveness of debt was announced for the HIPC countries (Bolivia included). This program, called the Multilateral Debt Relief Initiative (MDRI), explains the large reduction of Bolivia’s multilateral debt. To this we have to add the change in the external economic conditions since 2005 that coincided with the end of the social crisis that Bolivia experienced between 2000 and 2003 and the end of the so-called neoliberal period, when the economy was based in the free market.

The windfall of funding received by the NFPS and the external surplus allowed the Banco Central de Bolivia to accumulate reserves to amounts never seen before. Net international reserves increased from 12.0 percent of GDP in 2003 to 51.8 percent of GDP in 2012. Since then, reserves have started to decrease, coinciding with a reversal of these favorable conditions, as seen in figure 6.

The large current account surpluses that the Bolivian economy started to experience in 2004 generated an excess of dollars in the economy that caused the nominal exchange rate to appreciate. In 2005, the nominal exchange rate reached a value of 8.08 BOB/USD, and it appreciated further to 8.05 BOB/USD in 2006. Figure 9 shows that the real exchange rate has experienced a real appreciation since 2005 that continues today. In fact, in November 2011, the Banco Central de Bolivia adopted a de facto fixed exchange rate policy. Since then the nominal exchange rate has been fixed at 6.96 BOB/USD. This policy explains the fall in international reserves observed in recent years in figure 6.

By 2017, international reserves were 27.5 percent of GDP, there was a fiscal deficit of 7.8 percent of GDP, and the current account deficit was 7.0 percent of GDP. External debt has increased to USD 9,427.9 million, and, although it is an amount larger than what Bolivia’s debt was in 2005—USD 4,941.6 million—it represents only 25.3 percent of GDP.

The policies that are being implemented today have the following features in common with policies that were implemented in the 1970s:

  • Nationalization of the enterprises in strategic sectors (oil and energy).
  • Economy based on the role of the state as producer (state capitalism in the 1970s), where the surplus generated by strategic enterprises was used (or was intended to be used) to finance other enterprises.
  • Adoption of a fixed exchange rate policy that led to an overvaluation of the local currency.
  • Ambitious investment plans that did not clearly identify the sources of financing or the profitability of projects.
  • Increasing fiscal deficits, mainly due to the increase in the deficit of public enterprises.
  • Fall in reserves due to an expansion of domestic credit.

These similarities in policies lead us to ask, Is the Bolivian economy heading toward a balance of payments crisis?

Budget Accounting Analysis for Bolivia

Our analysis of budget accounting for Bolivia uses debt data from the Banco Central de Bolivia because they cover a longer period than alternative sources such as the World Bank’s International Debt Statistics.

Recall that during the 1970s, Bolivia borrowed large amounts from private lenders. The capacity for negotiation with these creditors fell as the country increased its debt. Therefore, Bolivia had no other option but to contract loans with more severe conditions, which means that interest rates were higher and maturities were lower. This is exactly what happened in the early 1980s: there was a rise in world interest rates, and most of the loans that Bolivia contracted in the 1970s reached their maturity. This fact, associated with the incapacity of the country to generate foreign resources and large fiscal deficits, set the stage for the subsequent crisis.

In the 1990s, with the consolidation of structural reforms and the change in international creditors, maturities started to rise and interest rates decreased. By the end of the decade, interest rates were on average 3 percent and maturity was fifteen years on average. It is important to mention also that these credit conditions changed to conditions even more favorable for the Bolivian government with the debt forgiveness and reductions that benefited Bolivia during the 1990s.16

Between 1988 and 2000, there was an increase in debt contracted under multiple currencies, but most of this debt was contracted in US dollars. In 2005, 75 percent of total debt was in dollars. Debt contracted in deutsche marks never reached more than 10 percent of total debt, and debt contracted in yen reached its highest share of 13.7 percent in 1994.

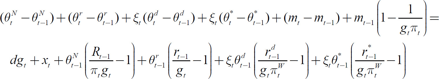
We have modified the budget equation in Kehoe, Nicolini, and Sargent (2010) to incorporate not only nominal and indexed internal debt but also dollar internal debt, as Bolivia has a bimonetary system, and the Banco Central de Bolivia as well as the National Treasury can issue debt in dollars or in bolivianos.

The government began to issue internal debt in 1988, which became important in 1996 after the pension reform. With the new pension system, the newly created pension funds used Treasury bonds as the major way to invest their funds. In fact, the pension system was thought of as a system that could serve as a source of financing for the government as well as a system that could generate the incentives for the creation of a stock market in Bolivia. Currently, the pension funds not only serve as a major source of financing for the government, as they have bought around 25 percent of the government sovereign bonds issued in 2017, but also now represent the main source of liquidity for the financial system.17

Between 1988 and 2000, most of the internal debt was also debt from the Banco Central de Bolivia, issued to sterilize the monetary effects of the high accumulation of international reserves through open market operations. In Bolivia, a significant share of internal debt in local currency is not issued for financing needs but to control excessive liquidity.

Figure 19 depicts the evolution of internal and external debt as a share of GDP since 1993. Notice that, since 2003, the stock of external debt as a share of GDP decreased, while the stock of internal debt as a share of GDP increased until 2004. Internal debt was even larger than external debt between 2007 and 2012.

Our budget accounting starts with the year-by-year budget constraint of the government in nominal domestic currency:

     (4)

where Bt is nominal internal debt, Mt is the stock of money, bt is indexed internal debt, btd is dollar-indexed internal debt and Bt* is the dollar external debt, Pt is the price level, Et is the nominal exchange rate, Rt, rt, and rtd are the gross returns on nominal, indexed, and dollar-denominated internal debt and Rt* is the gross return on external debt, Dt is the deficit of the general government, and Xt is the residual. We are not sure what the residual exactly includes, but it certainly includes the deficit of the public enterprises.

If we assume that Xt represents only the deficit of public enterprises, we can consider Dt+Xt as the deficit of the nonfinancial public sector, for which we only have information since 1980. Since we have information on the central and general government since 1960, however, we calculate Xt as a residual. Unfortunately, this residual—which represents a measure of our ignorance—is large in some periods.

We can write the budget constraint in terms of real GDP as

     (5)

where the first four terms on the left-hand side measure the issuance of debt compared to GDP in the three different types of internal debt and the issuance of foreign debt. Here

     (6)

t is the ratio of nominal internal debt to GDP and r is defined similarly, and

     (7)

is the ratio of external debt to GDP and is defined similarly. In both of these terms we factor out the real exchange rate, ξt. The last two terms on the left-hand side of equation (5) represent increases in high-powered money and seigniorage. The first two terms on the right-hand side represent the deficit of the general government and the residual as a fraction of output, respectively, and the final four terms measure the real net service costs on all types of debt adjusted by GDP growth.18

To understand better the debt issuance terms for dollar-indexed internal debt and external debt in budget accounting equation (5), we decompose the issuance term for external debt as

(8)

Of course, an analogous decomposition applies to dollar-indexed internal debt. The first term in this decomposition tells us how much the value of external debt as a fraction of GDP changed from year t−1 to year t. The second term tells us how much of this change in value was due to the change in the real exchange rate. As we have seen in figure 2, much of the year-to-year changes in the ratio of external debt to GDP, are due to real exchange rate fluctuations, and our term for the issuance of external debt factors this out. As we have discussed, the value of external debt increased from 45.1 percent of Bolivian GDP in 1981 to 100.4 percent in 1982. Of this increase of 55.3 percentage points (pp), we account for 51.4 pp by the revaluation term *(t t1), that is, by the real exchange rate depreciation. Our debt issuance term is the difference, 3.9 pp. Bolivian external debt increased by 5.7 percent in dollar terms between 1981 and 1982. Our external debt issuance adjusts this term downwards because of US inflation of 6.2 percent and adjusts it upwards because of −4.4 percent Bolivian real GDP growth.19

For each year, we compute the terms in equation (5), and the accounting results are reported in table 2. The numbers in table 2 are in units of percentage of GDP per year. That is, we calculate the terms in equation (5) for every year in the period 1960–2017 and then average over periods and subperiods.

Table 2. Budget accounting results across periods

Period

1960–1971

1971–1977

1960–1977

1977–1986

1986–1998

1998–2002

2002–2017

2006–2017

1960–2017

Sources

(1) Issuance of local currency internal debt00000.080.240.450.530.16
(2) Issuance of indexed internal debt00000.251.14-0.07-1.540.09
(3) Issuance of dollar internal debt00000.71.05-1.02-0.28-0.02
(4) Issuance of external debt0.71.310.94.59-2.47-2.65-1.31-1.13-0.24
(5) Money issuance0.250.070.13-0.720.05-0.641.161.380.29
(6) Seigniorage1.072.271.556.011.310.541.651.962.17
Total2.023.652.589.87-0.09-0.310.850.922.45

Obligations

(1) General government primary deficit1.053.081.86.530.53.750.75-0.222.14
(2) Service of local currency internal debt00000.030.08-0.41-0.54-0.1
(3) Service of indexed internal debt0000-0.04-0.1-0.27-0.52-0.09
(4) Service of dollar internal debt00000.070.29-0.08-0.020.02
(5) Service of external debt-2.78-3.79-3.141.63-1.4-0.75-1.03-0.79-1.36
(6) Residual3.754.363.921.710.77-3.591.883.021.84
Total2.023.652.589.87-0.09-0.310.850.922.45

Source: Authors’ calculations.

Table 2 highlights the role of seigniorage as a source of financing. In the period 1960–1977, it covered 60 percent of financing needs, and in the period 1977–1986, it covered 61 percent. During the debt crisis, increases in external debt compared to GDP accounted for 4.59 pp of financing needs on average, but, as we have discussed above, this number factors out the enormous increase in the value of debt compared to GDP caused by real depreciation.

Notice that, during most of the entire period, the contribution to obligations of the net service costs on external debt has been negative, except between 1977 and 1986, the period of the debt crisis, when Bolivia defaulted several times and with different creditors. These negative service costs on debt mean that, except during the period from 1977 to 1986, US inflation and Bolivian GDP growth were higher than the interest rate on external debt. In fact, interest rates were subsidized in the sense that there were concessional terms on much of the external debt, mainly multilateral. Thus, the real interest payments of Bolivia were negative, as we have already seen in the data in figure 7.

It is noteworthy that the deficits of public enterprises—if we assume that they make up most of the residual—were the largest component of financing needs for the government between 1960 and 1977. By dividing this period in two, we can see that the deficit of the general government was not important between 1960 and 1971, but it became more important between 1971 and 1977. This is a sign that changes in government policies during the rapid growth period of 1960–1977 explain much of the debt crisis of the mid-1980s.

During the debt crisis, the deficit of the general government became the most important component of obligations, representing 6.53 pp of financing needs. The deficits of the public enterprises—that is, the residual—represented only 1.72 pp because the general government absorbed the obligations of the public enterprises, as most of them were on the edge of bankruptcy.

The fiscal reform implemented in 1986 managed to reduce the importance of the deficit of the general government in financing needs between 1986 and 1996. In fact, the deficit of the general government fell to only 0.50 pp between 1986 and 1998, but then it increased to 3.75 pp during the financial crisis. As we mentioned in section 3, the increase in the fiscal deficit was a major cause of the financial crisis. This increased contribution was offset by an increasing contribution of the surpluses of public enterprises—the residual of 3.59 pp—between 1998 and 2002. In fact, these surpluses are mostly explained by the privatization policy that the different governments implemented during the 1990s, which reduced current expenditures and revenues.

Notice that in the period of recovery and growth of 1986–1998 and the period of the financial crisis of 1998–2002, financing needs were negative: −0.09 pp and −0.31 pp, respectively. This reinforces our conclusion that the structural reforms implemented between 1986 and 1998 helped to mitigate the impact of the financial crisis of the late 1990s: although the government deficit was high, public enterprises had a surplus, and therefore the financing needs were negative.

External debt as a source of financing turned negative in 1986 because Bolivia started to pay its debt to different types of creditors, as already seen in table 1. External debt fell by approximately 20 pp between the years 1989 and 2006, which is mainly explained by the MDRI. During the period of nationalization and growth of 2002–2017, the residual, which we interpret as mostly the net income from public enterprises, shows a deficit of 1.88 pp in contrast to the period 1998–2002 when it showed a surplus. Moreover, the deficit of public enterprises increased to 3.02 pp in the period 2006–2017 (see Linares Calderón 2018). This large deficit is compensated by a surplus of the general government of 0.22 pp and also by the other obligations (internal and external debt service) that have negative signs. That is why we observe only a small increase in total obligations from 0.85 pp in 2002–2017 to 0.92 pp in 2006–2017.

In the period 2006–2017, we can also observe that there is an increase in money issuance (1.38 pp) as a source of financing. This is explained not only by “bolivianization” (the opposite of dollarization), which allowed real money demand to increase (see Cerezo and Ticona 2017), but also by an increase in income due to economic growth. Bolivianization also allowed the government to increase internal debt in local currency as a source of financing. In the period 1986–1998, it represented only 0.08 pp, whereas in the period 2002–2017, it represented 0.45 pp. The issuance of internal debt indexed to the cost of living was an important source of financing during the financial crisis period, but in the next period, it was reduced and represented a negative source of financing. The same occurred with the internal debt in dollars, which represented −1.02 pp during the last period.

Until now, we have described the results using the residual as the public enterprises deficit, but being a residual, it can and does include other things. Figure 20 shows the comparison between the residual and a constructed residual, which is the sum of variables that we think that the residual includes: the reported deficits of public enterprises, changes in international reserves, capital transfers, unidentified expenses, and the negative of donations received. Notice in figure 20 that the fit between the residual and the constructed residual is very good at the beginning and end of the period. In particular, the constructed residual explains most of the residual between 1960 and 1967 and between 2008 and 2017. Over the entire period 1960 to 2017, the correlation between the residual and the constructed residual is 0.33. The average value of the residual over the entire period 1960 to 2017 is 1.84 pp while the average value of the constructed residual is 1.03 pp. Consequently, the part of the residual that we are unable to explain averages 0.81 pp per year. This means that, on average, there were expenditures or transfers or losses of public enterprises that were not recorded that amounted to 0.81 percent of GDP per year on average.

This residual includes transfers or contingent liabilities. In the Bolivian case, we hypothesize that four are of particular interest:

  • The deficits of the public enterprises were not computed correctly. Much of the time, investment was not accounted for—only the flows of income and expenditures. Often the sales income of these enterprises was used to finance the general government expenditures, and these transfers were also not accounted for in the balance sheets of these enterprises. Another problem was that most of these enterprises suffered corruption problems, and their balances did not reflect the true situation of the enterprises.20
  • Since 2002, Bolivia has accumulated international reserves as never before: from 10.8 percent of GDP in 2002 to 40.5 percent in 2007. This accumulation of reserves reached its maximum point in 2012 at 51.4 percent of GDP.
  • Bolivia has always received donations from foreign governments and from international organizations such as the United States Agency for International Development. Most of the time, these donations were aimed at attacking poverty through specific projects and programs.
  • Some expenses appear as unidentified in the balance of the nonfinancial public sector. These are also potential contingent liabilities.

In figure 20, we see that our attempts to account for the residual with our constructed residual do particularly poorly during the periods from 1968 to 1973, from 1986 to 1987, from 1992 to 1996, and from 2006 to 2007. During the early 1970s, we cannot do much in accounting for the residual because we do not have any data for public enterprises. In 1986 and 1987, the problem could be that different exchange rates (the official rate and the parallel rate) were used in different accounts. Between 1992 and 1996, the problem was probably in accounting for the receipts of privatizations. In 2006 and 2007, the problem was probably in accounting for the costs of nationalizations. Here are some of our hypotheses:

  • The net income of public enterprises is not very well measured. The accounts of public enterprises are not transparent because of corruption or because the government wanted to hide the true state of the public companies. For instance, many public enterprises report their cash flows, but they do not report their investment or capital expenditures.21 It is noteworthy that the press release summarizing the IMF executive board’s 2018 article IV consultation with Bolivia concludes, “[The Directors] encouraged further reforms, including . . . reforming the legislative framework governing state-owned enterprises[,] and including the activities of all subsidiaries in the fiscal accounts of the non-financial public sector” (International Monetary Fund 2018).
  • The receipts of privatizations during the 1990s should have been accounted for as a decrease in assets and therefore as an increase in net liabilities. In the accounts of the NFPS, however, they cannot be identified, and it seems that they were not accounted for, at least not in that way. Conversely, the nationalization process in recent years did not involve a confiscation of the private companies; rather, they were bought by the state. For instance, in the hydrocarbon sector, the nationalization of strategic companies began on May 1, 2006, with the approval of Supreme Decree 28071, which allowed the Bolivian state, through YPFB (the public oil company), to recover “ownership, possession and total and absolute control” of the country’s hydrocarbon resources. For this purpose, the decree forced the purchase of the total or majority shareholding in the companies Chaco, Andina, Transredes, Petrobras Bolivia Refining (PBR), and Compañía Logística de Hidrocarburos de Bolivia (CLHB). The same mechanism was applied in the other sectors, and therefore until 2010, the state had already paid USD 476 million. These costs are also not accounted for in the NFPS accounts.
  • During the 1970s, the government’s operations of three state banks—Banco Minero, Banco Agrícola, and Banco del Estado—were not well accounted for. These banks were intended to give credit to producers but were captured by special interest groups that siphoned off the loans for their own use. These banks granted loans without sufficient guarantees, and, of course, most of them were not repaid. It has yet to be determined how many of these unpaid liabilities were effectively assumed by the Bolivian central government or by the Banco Central de Bolivia.22
  • From 1981 to 1986, the Bolivian government, like many other Latin American governments during this period, utilized a system of dual exchange rates. Figure 21 depicts the behavior of the official exchange rate and the parallel exchange rate determined by the market. The parallel rate was 85 percent higher than the official rate on average from 1981 to 1986. During 1985, it was 383 percent higher on average and was 1,616 percent higher in August 1985. In our budget accounting, we have used the parallel exchange rate for the nominal exchange rate Et in the budget constraint (4) and used it to calculate the real exchange rate ξt in the budget accounting equation (5). If the government forced exporters or foreign investors to buy domestic currency at the official rate, this was an implicit tax on exports or foreign investment. If the government allowed some importers to buy dollars at the official rate, this was an implicit subsidy on their imports. We do not have data on these taxes and subsidies, so they end up in the residual. If we redo the budget accounting using the official exchange rate rather than the parallel exchange rate, we find that the only differences in table 2 occur during the period 1977–1986: both sources and obligations decline from 9.87 pp to 8.80 pp; in sources, this decrease is accounted for by the contribution of external debt decreasing from 4.59 pp to 3.52 pp; in obligations, it is accounted for by the contribution of the external service costs decreasing from 1.63 pp to 0.69 pp and the residual decreasing from 1.71 pp to 1.58 pp. We prefer to use the budget accounting with the parallel exchange rate because it gives us a more accurate measure of how external debt increased compared to GDP. The difference in the residual between the budget accounting using the parallel rate and that using the official rate, 0.13 pp, gives us a rough idea of the net of the implicit subsidies minus implicit taxes imposed by the dual exchange rates. Notice that this is the average yearly net subsidy over the entire period 1977–1986. It was much higher in 1983, when it was 3.79 pp.
  • During the 1990s, there was something called gastos reservados (reserved expenditures), which were intended to be used in the battle against drug trafficking. Later, these reserved expenses were also used as a way to give special but unofficial payments to public servants.23 Perhaps part of these expenditures are accounted for in the so-called unidentified expenses. We do not know what these unidentified expenses represent today.
  • The deficit depicted in table 2 represents the primary deficit of the general government, but the data for the internal debt represent only the internal debt of the National Treasury. In addition, we have data for internal debt only since 1993. We lack data for internal debt after 1993 for local and regional governments.

Conclusions

In this chapter, we have analyzed the modern economic history of Bolivia, with an emphasis on the monetary and fiscal policies that have been implemented between 1960 and 2017. We have identified five distinct periods. The first period, one of stabilization and rapid growth, runs from 1960 to 1977. The second period, characterized by a debt crisis and hyperinflation, runs from 1977 to 1986. The third period runs from 1986 to 1998 and is a period of recovery and slow growth. The fourth period runs from 1998 to 2002 and is characterized by a financial crisis. The final period runs from 2002 to 2017 and is one of growth but is also notable for the nationalizations that the government implemented. In a brief description of the fiscal policies implemented in these periods, it has been possible to identify the close relation between fiscal policy and external debt. In fact, we have described the evolution of the external debt in Bolivia because it has determined the interaction between fiscal and monetary policy in Bolivia.

In addition, we have performed a growth accounting exercise for the whole period, which has enabled us to identify TFP as the main element that explains the deviations from the balanced growth path. A goal for future research is to analyze how fiscal and monetary policies could explain these deviations, and what their effects have been on TFP in the different periods of analysis. As a conclusion, we can say that if the evolution of debt has determined the way fiscal and monetary policies were conducted in Bolivia, it might be important to explain the evolution of the growth rate. For example, the constraints that the debt policy implied in the mid-1980s might have dampened growth in the period after the crisis. We need a model and data analysis to show this, as growth could also explain the evolution of debt as well as the evolution of fiscal and monetary policy.

The budget accounting exercise carried out in the previous section allows us to see that the fiscal deficit and the accumulation of debt in the period of stabilization and growth (1960–1977) explains much of the debt crisis of the 1980s. In particular, we see that, in the 1970s, the deficit of public companies became important, and at the same time, external debt grew in importance as a source of financing. We also see that governments frequently resorted to seigniorage as a source of financing.

We hope that this study will contribute to the analysis of economic history in Bolivia. Currently, we lack a detailed and comprehensive analysis of the country’s modern economic history based on a rigorous analysis of data and on quantitative models.24

The current economic situation in Bolivia displays troubling similarities to that of the policies of the 1970s. There is a fixed exchange rate, international reserves are falling, and the fiscal deficit is growing. If the government does not take corrective measures, this situation could end up in a balance of payments crisis, as agents begin to perceive that international reserves are running out and that the Banco Central de Bolivia will not be able to sustain the de facto fixed exchange rate.

Appendix: Economic History of Bolivia Before 1960

Bolivia became an independent republic in 1825 and was one of the last countries in Latin America to achieve its independence from Spain. As a Spanish colony, Bolivia—in particular, its city of Potosi—was economically important. In 1650, Potosi had 160,000 inhabitants and was larger than Paris or New York. Its main economic activity was mining, particularly silver extraction (Bakewell 1985; Menegus Bornemann 1999).

Despite the economic importance of Potosi and the surrounding region (Assadourian 1982), Bolivia emerged as a country with many difficulties and a lack of integration, with the majority of its population being indigenous and poor (Klein 2011a; Pentland 1975). During the following decades, the country was characterized by political instability (Barragán 2002). Although this instability was tamed by the end of the nineteenth century, the country lost significant pieces of its original territory up until the early 1930s through wars with its neighbors (Fifer 1972). Furthermore, despite having vast natural resources, particularly minerals, Bolivia did not manage to consolidate a national market until 1952, when the National Revolution took place (Peres-Cajías 2017; Rodríguez Ostria 1994; Sandoval et al. 2003). The most important economic features of the National Revolution were the nationalization of mineral extraction and the distribution of agricultural lands to peasants.

The process of market integration in both geographic and social terms was accompanied by other radical economic transformations that, in turn, were related to sweeping political changes (Zondag 1966). These transformations had long-lasting, persistent effects (Grindle and Domingo 2003). Economic historians traditionally date Bolivia’s modern economic history as starting with the economic transformation that followed the 1952 National Revolution. For the sake of consistency with the other chapters in this volume, however, we start our history in 1960. Bolivia is a clear example of a “reversal of fortune” (Acemoglu, Johnson, and Robinson 2002): it was among the most important economic territories during colonial times and today is among the poorest countries in the region. For example, the Bolivian GDP per capita as a share of US GDP per capita has declined from 20 percent in 1950 to 12 percent currently; likewise, it has declined from 51 percent of the Chilean GDP per capita to 24 percent during the same time span. The rate of decline, however, has not been constant throughout time (Herranz-Loncán and Peres-Cajías 2016). Indeed, the economic gap between Bolivia and the most dynamic economies in the Americas increased during the nineteenth century and during two specific periods in the twentieth century: the 1950s and the 1980s.

This concentration of the Bolivian divergence in certain periods can clearly be seen in the distinct periods of Bolivian economic history, as shown in figure 22. In the nineteenth century, the existence of a constant low economic dynamism stands out. For instance, the available evidence on Bolivian GDP per capita shows an annual average growth rate around 0.7 percent from 1846 to 1900. Alternative indicators, such as population growth and levels of urbanization, also point to a (absolute and relative) low economic dynamism. Up to the 1870s, this process seems to be explained by the difficulties in overcoming the economic and political instability brought about by the direct and indirect costs of independence (Langer 2009; Mitre 1981; Prado 1995; Prados de la Escosura 2009). From the 1870s onward, backwardness is related to the relatively small size of the mining export sector, the most dynamic sector of the economy.

Economic growth accelerated during the first third of the twentieth century, thanks to the constant expansion of tin exports. The consolidation of tin as the main export product was in turn related to infrastructure expansion and state support for export activities (Contreras 2003; Mitre 1993; Peres-Cajías 2017). This period also featured major political changes, such as the centralization and expansion of education spending and the progressive centralization of money issuance (Peres-Cajías 2014). In spite of this progress, economic imbalances were noticeable: export concentration in a single product and few producers increased the negative effects of commodities volatility and the dependence on very specific economic agents (Peres-Cajías and Carreras-Marín 2017); the economic dynamism in the western part of the country sharply contrasted with the stagnation in the east (Rodríguez Ostria 1994); the modernization of the export sector was contemporaneous to a backward agrarian sector dominated by few landowners and dispersed indigenous communities (Larsson 1988); and political voice as well as economic rights were unfairly distributed (Klein 2011b). After the economic crisis generated by the Great Depression and the Chaco War of 1932–1935, economic dynamism resumed, thanks again to tin exports and industrial production, which for the first time in Bolivian history became relevant. The war and postwar political instability, however, increased the political pressure toward state involvement in the economy. Because of this and the inability to increase revenues in the short term, macroeconomic instability increased in the late 1930s and early 1940s. Moreover, in spite of the resumption of positive economic growth, economic imbalances persisted.

The National Revolution of 1952 sought to overcome these imbalances through radical reforms: it nationalized the three biggest mining companies and created a new state-owned mining company (COMIBOL); it pursued an agrarian reform that radically changed land ownership in the western part of the country by distributing land to farmers and releasing farmers from debts to landowners; it redistributed state resources to the eastern part of the country, in the form of infrastructure investment (mainly roads), state-owned-companies, and soft loans; and it promoted industrial production through the redistribution of cheap foreign exchange (Sandoval et al. 2003; Zondag 1966). Initially, however, these structural reforms generated an economic downturn. On the one hand, economic agents had to adjust to the new economic structure. For instance, small farmers did not have the same skills as landowners regarding agricultural production (Dirección Nacional de Informaciones 1962). On the other hand, the heterodox financing state expansion had negative consequences: the Bolivian government applied an overvalued exchange rate on COMIBOL revenues that were redistributed to other economic agents through an undervalued exchange rate. This measure, as well as the determination to increase the wages of miners (key political allies) and to contract those miners who lost their jobs in the previous years, widened the company deficits. Thereafter, these deficits were financed through direct loans from the Banco Central de Bolivia, which were backed by inorganic emission, that is, by printing domestic currency not backed by accumulating foreign reserves. This, in turn, increased inflation to rates that were higher than 100 percent in 1953 and 1956, higher than 50 percent in 1954 and 1955, and close to hyperinflation rates in some months during these years (Peres-Cajías 2014).

The initial macroeconomic shake-up of the 1952 revolution was tamed by an orthodox stabilization plan pursued with the close cooperation of the US government and the International Monetary Fund at the end of 1956. The stabilization plan comprised the elimination of price controls, the unification of the exchange rate, a tax reform, and a plan of wage setting in public companies. Thanks to these changes, the structural reforms of the revolution were not reversed, and state intervention continued but with stable macroeconomic backing.

Figure 1. Real GDP per working-age person, 1960=100. Sources: Maddison Project, ECLAC, INE, and UN Population Center.

Figure 2. External debt and fixed real exchange rate debt, percent of GDP. Source: Banco Central de Bolivia.

Figure 3. Inflation and money supply growth, factors in log scale. Source: Banco Central de Bolivia.

Figure 4. Growth accounting for Bolivia, 1960=100. Source: Authors’ calculations.

Figure 5. Composition of external creditors, percent of total debt. Source: Banco Central de Bolivia.

Figure 6. Net international reserves, percent of GDP. Source: Banco Central de Bolivia.

Figure 7. Net transfers from external lenders, percent of GDP. Source: Banco Central de Bolivia.

Figure 8. Sovereign debt in default by issuer, million USD. Source: Bank of Canada.

Figure 9. Real exchange rate, 1960=100. Source: International Monetary Fund.

Figure 10. Trade balance and current account balance, percent of GDP. Source: World Bank.

Figure 11. General government expenditure and revenue, percent of GDP. Source: Banco Central de Bolivia.

Figure 12. Fiscal and primary surplus of the general government, percent of GDP. Sources: Banco Central de Bolivia and UDAPE.

Figure 13. Terms of trade versus primary surplus, 2000=100 and percent of GDP. Sources: ECLA, Banco Central de Bolivia, and UDAPE.

Figure 14. Composition of borrowers, percent of GDP. Source: Banco Central de Bolivia.

Figure 15. Seigniorage and deficit of the NFPS, percent of GDP. Sources: UDAPE and Banco Central de Bolivia.

Figure 16. Deposits in the banking system, percent of GDP. Source: Banco Central de Bolivia.

Figure 17. Dollarization in Bolivia, percent of total deposits. Source: Banco Central de Bolivia.

Figure 18. Debt renegotiations, millions of USD. Source: Banco Central de Bolivia.

Figure 19. External versus internal debt, percent of GDP. Source: Banco Central de Bolivia.

Figure 20. Budget accounting residual, percent of GDP. Source: Authors’ calculations.

Figure 21. Nominal exchange rates, bolivianos per dollar, log scale. Source: UDAPE.

Notes

1. The views expressed herein are those of the authors and not necessarily those of the Federal Reserve Bank of Minneapolis or the Federal Reserve System.

2. It is difficult to compare GDP per capita in Venezuela with that in Bolivia. The International Monetary Fund’s World Economic Outlook Database estimates that GDP per capita in Venezuela was USD 12,388 in 2017, compared to USD 7,543 in Bolivia, but the Venezuelan number is subject to a lot of uncertainty. The World Bank has not been willing to publish any estimates for Venezuelan GDP per capita since 2014.

3. Notice that the data in figure 3 are in terms of percentage growth factors—where the percentage growth factor is 100 + percentage growth rate—rather than growth rates. This allows us to plot data with both positive and negative growth rates with a logarithmic scale. With this scale, 100 indicates a zero inflation rate or a zero growth rate of the money supply depending on the series.

4. Other estimations for Bolivia include that of Humérez and Dorado (2006) with a value of 0.35 and that of Jemio (2008) with a value of 0.69.

5. The plan was named after George Jackson Eder, an economist sent by the United States as part of the technical assistance provided to Bolivia.

6. At the conference “La Historia Monetaria y Fiscal de Bolivia: 1960–2014,” one of the presidents of the Banco Central de Bolivia during this period, when asked whether Bolivia intended to pay its debt, answered, “We wanted to pay, but we were not able to.”

7. According to Requena et al. (1989), the fiscal deficit of the Bolivian public sector from 1980 to 1985 was mostly driven by the nonfinancial deficit and this deficit was mostly driven by the fall in the quantities exported by public enterprises.

8. The Olivera-Tanzi effect is a situation in which an increase in inflation reduces fiscal revenues in real terms because of the lag in the payment of taxes.

9. Up until 2000, ninety-four public enterprises were privatized (see Garrón, Capra, and Machicado 2003).

10. See Barja Daza (2000) for a detailed explanation of the specific reforms that occurred in each period.

11. Once stabilized, the currency, the Bolivian peso (BOP), was replaced by the boliviano (BOB), where 1 boliviano was worth 1 million Bolivian pesos. This modification took effect on January 1, 1987 (Law 901, November 1986).

12. This tax reform (Law 843) reduced the tax structure to seven taxes from which the value-added tax was the most important. This law, in its 1986 version, did not include a tax to labor or to capital income, and even today, the labor income tax is absent from the Bolivian tax structure.

13. A critique of this form of debt reduction can be found in Bulow and Rogoff (1988).

14. They were equivalent to Triple A bonds. The sale of these bonds was intermediated by Merrill Lynch. This company bought fiduciary documents from international organizations—the World Bank and the International Monetary Fund—and from the Federal Reserve.

15. See Garrón, Capra, and Machicado (2003) for a review of the three waves of privatization in Bolivia.

16. Gonzalo Sanchez de Lozada became president for the second time, after going to a runoff with Evo Morales.

17. For a complete review of Bolivia’s debt history, see Huber Abendroth et al. (2001).

18. Bolivia issued sovereign bonds in 2012, 2013, and 2017 for USD 1,000 million each.

19. The term πtW is the inflation in the dollar price level of traded goods consumed in Bolivia; as we do not have that information, we have used the inflation of the United States

20. The adjustments work out additively to one decimal point, 3.9 = 5.7–6.2—(–4.4), but this is a matter of luck and of the adjustments being small. The adjustments for growth and foreign inflation are multiplicative, not additive.

21. Almost reliable, or at least consistent, data for public enterprises can be found starting in 1980.

22. See UDAPE (1986) for a discussion of these issues for public enterprises during the 1970s. See Linares Calderón (2018) for an analysis of current intragovernmental transfers that are neither properly measured nor publicly presented.

23. In theory, the debt of these banks was assumed by the Banco Central de Bolivia, following Supreme Decree 21660. In 1989, and according to Supreme Decree 22194, the debts of the Banco del Estado, Banco Minero, and Banco Agrícola were around USD 46 million, USD 32 million, and USD 116 million, respectively. This was a debt of around USD 194 million, without considering judiciary costs and charges for defaulted payments (Peres Arenas, Antezana, and Peres-Cajías 2013).

24. These expenditures were used to eradicate the coca plants under the Plan Dignidad. Some estimates indicate that this plan caused an outflow of USD 500 million from the economy.

References

Acemoglu, Daron, Simon Johnson, and James A. Robinson. 2002. “Reversal of Fortune: Geography and Institutions in the Making of the Modern World Income Distribution.” Quarterly Journal of Economics 117 (4): 1231–1294.

Antelo, Eduardo. 1996. “La dolarización en Bolivia: evolución reciente y perspectivas futuras.” Análisis Económicol, UDAPE, La Paz, Bolivia.

Antelo, Eduardo. 2000. “Políticas de estabilización y de reformas estructurales en Bolivia a partir de 1985.” In Quince años de reformas estructurales en Bolivia: sus impactos sobre inversión, crecimiento y equidad, edited by Luis Carlos Jemio and Eduardo Antelo. La Paz, Bolivia: CEPAL-IISEC.

Antezana, Oscar. 1988. Análisis de la nueva política económica. La Paz, Bolivia: Los Amigos del Libro.

Assadourian, Carlos Sempat. 1982. El sistema de la economía colonial: mercado interno, regiones y espacio económico. Lima: Instituto de Estudios Peruanos.

Bakewell, Peter. 1985. Miners of the Red Mountain: Indian Labor in Potosi, 1545–1650. Albuquerque: University of New Mexico Press.

Barja Daza, Gover. 2000. “Las reformas estructurales Bolivianas y su impacto sobre inversiones.” In Quince años de reformas estructurales en Bolivia: sus impactos sobre inversión, crecimiento y equidad, edited by Luis Carlos Jemio and Eduardo Antelo. La Paz, Bolivia: CEPAL-IISEC.

Barragán, Rossana. 2002. El estado pactante. Gouvernement et peuples. La configuration de l’état et ses frontieres, Bolivie (1825–1880). PhD dissertation. Paris: École des Hautes Études en Sciences Sociales.

Bulow, Jeremy, and Kenneth Rogoff. 1988. “The Buyback Boondoggle.” Brookings Papers on Economic Activity 2:675–704.

Cariaga, Juan. 1996. Estabilización y desarrollo. La Paz, Bolivia: Los Amigos del Libro.

Cerezo, Sergio M., and Ulises A. Ticona. 2017. “Bolivianización, demanda de dinero y señoreaje en Bolivia: evidencia empírica y una propuesta teórica.” Revista Latinoamericana de Desarrollo Económico 27:7–38.

Contreras, Manuel E. 2003. “Bolivia, 1900–1939: minería, ferrocarriles y educación.” In La era de las exportaciones latinoamericanas de fines del siglo XIX a principios del XX, edited by Enrique Cardenas, José Antonio Ocampo, and Rosemary Thorp, 259–296. México, DF: Fondo de Cultura Económica.

Dirección Nacional de Informaciones. 1962. Bolivia: 10 años de revolución, 1952–1962, Vol. 1. La Paz, Bolivia: Dirección Nacional de Informaciones.

Fifer, J. Valerie. 1972. Bolivia: Land, Location and Politics since 1825. New York: Cambridge University Press.

Friedman, Milton 1963. Inflation: Causes and Consequences. Bombay: Asian Publishing House for the Council for Economic Education.

Garrón, Mauricio, Katherina Capra, and Carlos Gustavo Machicado. 2003. “Privatization in Bolivia: The Impact on Firm Performance.” Research Network Working Paper R-461, Inter-American Development Bank.

Grindle, Merilee S., and Pilar Domingo, eds. 2003. Proclaiming Revolution: Bolivia in Comparative Perspective. Vol. 10 of David Rockefeller Center for Latin American Studies Series. London: Institute of Latin American Studies.

Herranz-Loncán, Alfonzo, and José Alejandro Peres-Cajías. 2016. “Tracing the Reversal of Fortune in the Americas: Bolivian GDP per capita since the Mid-nineteenth Century.” Cliometrica 10 (1): 99–128.

Huber Abendroth, Hans, Mario N. Pacheco Torrico, Carlos Villegas Quiroga, Alvaro Aguirre Badani, and Hugo Delgadillo Barea, eds. 2001. La deuda externa de Bolivia—125 años de renegociaciones y cuantos más? Desde la operación secreta del gobierno y los meiggs hasta la iniciativa HIPC. La Paz, Bolivia: CEDLA/OXFAM.

Humérez, Julio, and Hugo Dorado. 2006. “Una aproximación de los determinantes del crecimiento económico en Bolivia 1960–2004.” Análisis Económico 21:1–39. UDAPE.

International Monetary Fund. 2018. “IMF Executive Board Concludes 2018 Article IV Consultation with Bolivia.” IMF Press Release 18/453. Retrieved from https://www.imf.org/en/News/Articles/2018/12/06/pr18453-imf-executive-board-concludes-2018-article-iv-consultation-with-bolivia?cid=em-COM-123-38070.

Jemio, Luis Carlos. 2001. “Debt, Crisis and Reforms in Bolivia: Biting the Bullet.” International Finance and Development Series. Houndmills, Basingstoke, Hampshire, UK: Palgrave Macmillan.

Jemio, Luis Carlos. 2006. “Volatilidad externa y el sistema financiero en Bolivia.” Informe de consultoría elaborado para la Corporación Andina de Fomento (CAF). La Paz, Bolivia.

Jemio, Luis Carlos. 2008. “La inversión y el crecimiento en la economía Boliviana.” Documento de Trabajo No. 01/08, Instituto de Investigaciones Socioeconómicas, IISEC.

Kehoe, Timothy J., Juan Pablo Nicolini, and Thomas J. Sargent. 2010. “The Monetary and Fiscal History of Latin America 1960–2005.” Manuscript, Federal Reserve Bank of Minneapolis.

Kehoe, Timothy J., and Edward C. Prescott, eds. 2007. Great Depressions of the Twentieth Century. Minneapolis: Federal Reserve Bank of Minneapolis.

Klein, Herbert S. 2011a. A Concise History of Bolivia. Vol. 2 of Cambridge Concise Histories. Cambridge, UK: Cambridge University Press.

Klein, Herbert S. 2011b. The Emergence of a Mestizo and Indigenous Democracy in Bolivia. Unpublished manuscript.

Krugman, Paul. 1979. “A Model of Balance-of-Payment Crises.” Journal of Money, Credit and Banking 11 (3): 311–325.

Langer, Erick D. 2009. “Bringing the Economic Back in: Andean Indians and the Construction of the Nation State in Nineteenth-Century Bolivia.” Journal of Latin American Studies 41 (3): 527–551.

Larsson, Brooke. 1988. Colonialism and Agrarian Transformation in Bolivia: Cochabamba, 1550–1900. Princeton, NJ: Princeton University Press.

Linares Calderón, Julio Héctor. 2018. Más ruido que nueces: análisis de los emprendimientos empresariales del proceso de cambio. La Paz, Bolivia: CEDLA.

Machicado, Flavio. 2010. Historia económica de la república de Bolivia, 1952–2009. La Paz, Bolivia: Plural Editores.

Machicado, Carlos Gustavo. 2012. “Determinantes del crecimiento económico nacional en el largo plazo.” In Factores que inciden en el crecimiento y el desarrollo en Bolivia, coordinador Carlos Gustavo Machicado. La Paz, Bolivia: Fundación PIEB y Plural Editores.

Menegus Bornemann, Margarita. 1999. Dos décadas de investigación en historia económica comparada en América Latina: homenaje a Carlos Sempat Assadourian. México, DF: Colegio de México.

Mitre, Antonio. 1981. Los patriarcas de la plata: estructura socioeconómica de la mineria Boliviana en el siglo XIX. Lima, Peru: Instituto de Estudios Peruanos.

Mitre, Antonio. 1993. Bajo un cielo de estaño: fulgor y ocaso del metal en Bolivia. Biblioteca Minera Boliviana, Vol. 6. La Paz, Bolivia: Asociación Nacional de Mineros Medianos.

Morales, Juan Antonio. 1988. “Inflation Stabilization in Bolivia.” In Inflation Stabilization: The Experience of Israel, Argentina, Brazil, Bolivia, and Mexico, edited by Michael Bruno, Guido di Tella, Rudiger Dornbusch, and Stanley Fischer, 307–346. Cambridge, MA: MIT Press.

Morales, Juan Antonio. 2012. La política económica Boliviana, 1982–2010. La Paz, Bolivia: Plural Editores.

Otalora, Carmen Rosa. 2002. “La política fiscal Boliviana entre 1975 y 1989.” Documento de Trabajo 02/90, Instituto de Investigaciones Socioeconómicas, IISEC, Universidad Católica Boliviana.

Peñaloza Cordero, Luis. 1985. Nueva historia económica de Bolivia. El estaño. Enciclopedia boliviana. La Paz, Bolivia: Los Amigos del Libro.

Pentland, Joseph Barclay. 1975. Informe sobre Bolivia. Potosí, Bolivia: Editorial Potosí.

Peres Arenas, José Antonio, Sergio Antezana, and Jose Alejandro Peres-Cajías. 2013. Historia de la regulación y supervisión financiera en Bolivia. 1750–2012, Vol. 2. La Paz, Bolivia: Autoridad de Supervisión del Sistema Financiero.

Peres-Cajías, José Alejandro. 2014. “Bolivian Public Finances, 1882–2010. The Challenge to Make Social Spending Sustainable.” Revista de Historia Económica—Journal of Iberian and Latin American Economic History 32 (1): 77–117.

Peres-Cajías, José Alejandro. 2017. “Bolivian Tariff Policy during the Late Nineteenth and Early Twentieth Centuries: High Average Tariff and Unbalanced Regional Protection.” Journal of Latin American Studies 49 (3): 433–462.

Peres-Cajías, José Alejandro, and Anna Carreras-Marín. 2017. “The Bolivian Export Sector, 1870–1950.” In Latin America’s First Export Era Revisited, edited by Sandra Kuntz-Ficker. London: Palgrave.

Prado, Gustavo. 1995. “Efectos económicos de la adulteración monetaria en Bolivia, 1830–1870.” Revista de Humanidades y Ciencias Sociales 1:35–76.

Prados de la Escosura, Leandro. 2009. “Lost Decades? Economic Performance in Post-Independence Latin America.” Journal of Latin American Studies 41 (2): 279–307.

Requena, Juan Carlos, Gualberto Guarachi R., Gover Barja, and Ernesto Cupe. 1989. “Determinantes del déficit del sector público en Bolivia (período 1980–1987).” MPRA Paper 4751.

Rodríguez Ostria, Gustavo. 1994. Elites, mercado y cuestion regional en Bolivia. Quito, Ecuador: Facultad Latinoamericana de Ciencias Sociales FLACSO.

Rodríguez Ostria, Gustavo. 1999. “Industria: producción, mercancías y empresarios.” In Bolivia en el siglo XX: la formación de la Bolivia contemporánea, edited by Fernando Campero. La Paz, Bolivia: Harvard Club Bolivia.

Sandoval, Carmen Dunia, Ada Vania Sandoval, Marco Antonio del Rio, Franz Sandoval, Carlos Mertens, and Claudia Parada. 2003. Santa Cruz: economía y poder, 1952–1993. Investigaciones Regionales. La Paz, Bolivia: Fundación Pieb.

Seoane, Alfredo. 2016. Industrialización tardía y progreso técnico: un acercamiento teórico-histórico al proyecto desarrollista Boliviano. La Paz, Bolivia: CIDES-USMA.

Tanzi, Vito. 1977. “Inflation, Lags in Collection and the Real Value of Tax Revenue.” IMF Staff Papers 24 (1): 154–167.

Toranzo, Carlos. 2009. “Partidos políticos y think tanks en Bolivia.” In Dime a quién escuchas . . . think tanks y partidos políticos en América Latina, edited by Enrique Mendizabal and Kristen Sample, 209–239. Lima, Peru: IDEA Internacional and ODI.

UDAPE. 1986. Las estadísticas fiscales de Bolivia, 1970–1985. La Paz, Bolivia: UDAPE. Zondag, Cornelius H. 1966. The Bolivian Economy, 1952–65: The Revolution and Its Aftermath. Praeger Special Studies in International Economics and Development. New York: Praeger.

Annotate

Draft Manuscript
Copyright 2021 by the Regents of the University of Minnesota
Powered by Manifold Scholarship. Learn more at
Opens in new tab or windowmanifoldapp.org