The Case of Peru
César Martinelli
George Mason University
Marco Vega
Banco Central de Reserva del Perú and Universidad Católica del Perú
Major fiscal and monetary events, 1960–2017
1967 | Balance of payments crisis |
1975 | Balance of payments crisis |
1978 | IMF-backed stabilization |
1982 | Default |
1985 | Heterodox stabilization attempt |
1988 | Hyperinflation |
1990 | Hyperinflation |
1990 | Money-based stabilization |
1993 | New Constitution, independence of central bank |
1997 | Brady plan |
2001 | Inflation targeting | Crawling peg |
Introduction
Inflation in Peru describes an extraordinary arc in the last half century, from a history of low inflation with periodic bouts of two-digit inflation, to chronic, accelerating inflation since the mid-1970s, to hyperinflation in the second half of the 1980s, culminating in the successful stabilization of the 1990s. By the turn of the century, deflation more than inflation was a worry for monetary authorities. The years of chronic inflation and hyperinflation were accompanied by a precipitous decline in GDP per capita, with a steady recovery in the last twenty-five years (see figures 1 and 2). Thus, the decade of the 1980s is marked by a hyperstagflation.
In this chapter, we provide an interpretation of these historical events through the lens of the monetarist approach developed in chapter 2. From this perspective, inflation before the stabilization of 1990 reflects the fiscal need for inflationary taxation in a regime of fiscal dominance of monetary policy. Indeed, fiscal statistics reflect recurrent cyclical fiscal deficits up until 1990 (see figure 3). Stabilization in the 1990s corresponds to a period of monetary policy independence and fiscal moderation.
We set the stage for the analysis with two accounting exercises. First, we perform a growth accounting exercise, breaking down changes in GDP per worker into several components. The exercise shows that a massive productivity slowdown coincides with the stagflation. While unfavorable terms of trade, worse credit conditions for public debt, and unusual weather shocks contributed to the fall in GDP per worker, the productivity slowdown provides some evidence that there was a misallocation of resources as a result of the policies pursued, including extensive intervention of the state in the economy and the stop-and-go nature of fiscal policies before 1990.
Figure 1. GDP per capita. Note: Measured in soles of 2007. (See online appendix B for data sources for this and other figures.)
Figure 2. Inflation. Note: Inflation is measured in logarithmic scale.
Figure 3. Fiscal deficit. Note: The fiscal deficit is defined as the negative of the economic result of the nonfinancial public sector as a percentage of GDP.
Next, we perform a fiscal accounting exercise, breaking down financing of the government in its several sources. The exercise shows that fiscal deficits were financed through inflationary taxation and through foreign debt accumulation, which over time yield an increasing need to rely on inflation. Correspondingly, seigniorage collected by the government increased until the second half of the 1980s. Consistent with a monetarist interpretation, the stagflation period exhibited larger seigniorage and a larger flow of government financing as a percentage of GDP than the preceding and subsequent periods. Stabilization in the 1990s corresponded to a fall in seigniorage to negligible levels, consistent with the interpretation of a regime change.
We then turn our attention to the policies adopted before, during, and after the stagflation, complementing the monetarist approach with an institutional perspective. We place the origin of fiscal difficulties in the pent-up demand for redistribution, for the provision of public services, and for public investment, against the background of a small state, with little tax collection and administration capabilities. To some extent, chronic fiscal difficulties and accompanying inflation reflect, from our point of view, a process of social learning to live within the realities of fiscal budget balance and the (still ongoing) development of modern monetary and fiscal institutions.
Two extreme policy experiments, in 1968—1975 and in 1985—1990, reflected a fundamental mistrust in market allocations and price incentives. There was demand by both large social groups and intellectual elites for the government to engage in fine-tuning the economy by providing “correct” incentives as opposed to those signaled by markets. The 1980s, in particular, correspond to a period of “heterodox” policies, including the attempted use of price controls and multiple exchange rates to abate inflation, with unintended, counterproductive results. The disastrous events of the late 1980s, including the hyperinflation, may have been determinant in the change in popular attitudes regarding economic policy. Expectations turned against interventionism first as revealed by the behavior of agents in the market, then in the climate of public opinion, and, last, in the plans of politicians.
The last quarter century since the stabilization has witnessed for the most part macroeconomic stability and a robust resumption of the country’s growth. Problems other than monetary mismanagement have become focal for public opinion, notably the perennially difficult relationship between the executive and legislative branches, and the remarkable extent of political and judicial corruption. One can only hope that the analogy of inflation as temporary growing pains in the development of modern institutions extends to other areas as well.
The remainder of this chapter is organized as follows. In sections 2 and 3, we present our growth and fiscal accounting exercises. In section 4, we discuss the onset of inflation. In section 5, we discuss the period of high inflation and the “policy follies” of the mid- to late 1980s. In section 6, we discuss the end of the high inflation period and monetary policy since that time. In section 7, we turn to conclusions and challenges suggested by the Peruvian experience. We describe our data sources in online appendix B.
Growth Accounting
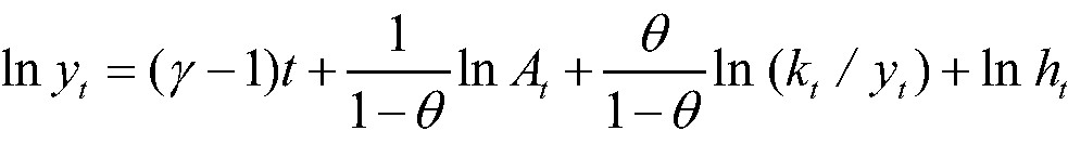
It is tempting to directly relate the inflation and productivity performance evidenced in figures 1 and 2 to the policy decisions taken by the country. From this viewpoint, the damaging policies that begat high inflation and then hyperinflation would also be responsible for the decline in productivity. To explore this viewpoint, we follow Kehoe and Prescott (2007) to perform a growth accounting exercise. From an aggregate Cobb-Douglas production function with share of labor 1—θ and total factor productivity , we can derive the following expression for output per worker:
, (1)
where yt, kt, and ht are GDP, capital stock, and total hours worked per working-age person. The first two terms in the right-hand side of equation (1) describe the trend and stochastic productivity factors. In figure 4 we use the decomposition given by equation (1) with data from Peru.1
Figure 4. Growth accounting: 1960–2010
In typical depressions, such as that in the United States in 1925—1939 or Argentina in 1980—1990, the ratio rises because the denominator falls sharply while the capital stock remains stable (see Kehoe and Prescott, 2007). Something similar happens in Peru, as observed in figure 4. Depressions differ in the importance of productivity versus hours worked. In the case of the Peruvian depression, productivity fell way below the level at the starting point in 1960. While the contribution of total hours also fell during the recession, as in the case of Argentina in 1980—1990, the bulk of the depression is explained by the massive productivity slowdown.
The growth accounting exercise illustrated in figure 4 supports the idea that the radical reforms of the 1970s led to a misallocation of resources behind the massive drop in total factor productivity. They could be considered as a supply shock, affecting not only the cyclical component of output but also its trend (as in Aguiar and Gopinath, 2007). A plausible channel is that the financing of the public sector crowded out the private sector. In the public sector, investment decisions may not have been led by efficiency considerations. Moreover, the financing of the private sector was distorted as the government put caps on interest rates and favored certain sectors. Government activity might have worsened the misallocation of resources typically observed in developing economies (Restuccia, 2013), which in turn might have been behind the fall in productivity. The stop-and-go nature of fiscal cycles may have affected the quality of public investment, which was subject to deep cuts during fiscal adjustments. Finally, high inflation by itself may have had consequences for productivity, since real resources were wasted as economic agents dealt with price volatility and exchange rate risk (see, e.g., Tommasi, 1999).
Figure 5. Terms of trade. Note: Calculated by the BCRP.
The terms of trade series in figure 5 may advise a somewhat nuanced stance. Movements in the terms of trade for Peru reflect mineral prices determined in world markets and largely exogenous from the viewpoint of the Peruvian economy. Terms of trade for Peru took a steep decline from the mid-1970s to the early 1990s. World interest rates also hiked in the 1980s. Thus, the hyperinflation and the deep recession of the 1980s coincided with a very adverse external environment. To the extent that an important part of production is linked to the extraction of natural resources with prices set in international markets, a declining pattern of these prices over protracted periods weakened the economy by various channels. Government revenues fell, and concurrently foreign credit to the government became more expensive, which in turn dampened public investment. Private investment also suffered because of higher aggregate uncertainty and, in the case of the mining sector, lower income prospects. The fall in investment may also be linked to the fall in total factor productivity, as suggested by Castillo and Rojas (2014).
There has been some debate about the role of bad external conditions versus bad economic policies in the Peruvian depression.2 In the words of Llosa and Panizza (2015), bad external conditions, mistaken policies, and supply shocks such as El Niño of 1982—1983 combined to create a “perfect storm.” Note, however, that terms of trade remained stagnant until 2000, while growth resumed a decade before, after the change in orientation of economic policies. Our empirical exercise and available evidence indicate that policy responses to bad external conditions magnified the depression.
Fiscal Accounting, Public Debt, and Seigniorage
The increased role of the state in the economy and the implementation of the structural reforms attempted by successive administrations from the 1960s were in need of financing. The foremost preferred source of domestic financing was the central bank. At the time, this was perceived as a commonsense solution in Peru as everywhere else (see Goodhart, 2011). In Peru, it was a customary role of the central bank to grant credit to state-owned sectoral banks with the ostensible purpose of promoting growth. These credit lines were a usual source of base money creation. Banks would then lend to private and public firms. Most of the central bank credit ended up as credit to the nonfinancial public sector.
The favored source of external financing was external debt, either in the form of bonds or as syndicated loans from governments, multinationals, and foreign private banks. This type of credit was relatively cheap in the postwar period; there was abundant dollar liquidity, which went toward developing economies and especially to Latin America. Peru and other countries committed what Hausmann and Panizza (2003) have called the “original sin” of taking debt in foreign currency instead of raising external debt denominated in their own currency. As in other cases, a determinant for the incapacity to take debt in its own currency was the relatively small size of the Peruvian economy.
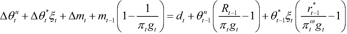
To study the dynamics of public finance, we follow chapter 2 to perform a fiscal accounting exercise. Indexed debt has not been quantitatively important in Peru,3 so for the purpose of the budget constraint analysis, we set it equal to zero. The budget constraint equation in chapter 2 can be arranged in terms of flows to obtain
. (2)
The left-hand side of equation (2) represents the sources of financing. The term is the change in domestic gross debt as a percentage of GDP,
is the change in foreign gross debt as a percentage of GDP (expressed in US dollars), ξt is the real exchange rate, Δmt is money creation as a percentage of GDP, and the term
is inflation tax, where mt−1 is the previous period money supply as a percentage of GDP, πt is gross inflation (i.e., the ratio between current and past prices), and gt is gross GDP growth. The sum
is seigniorage, and its main component is inflation tax.
The right-hand side represents the overall fiscal deficit. The term dt represents an augmented primary deficit measured as a percentage of GDP and is equal to the primary deficit minus implicit or explicit transfers such as privatization proceeds,4 which became relevant in the 1990s. The term Rt−1 is the gross nominal interest rates on domestic debt, r* is the gross nominal interest rate on foreign debt, and is gross tradable inflation, so the last two terms in equation (2) are the domestic and foreign public debt interest payments. In order for equation (2) to hold exactly, the level of transfers adjusts as a residual. This residual is obtained by comparing the total government financing on the left-hand side and the fiscal deficit, that is, the economic result of the nonfinancial public sector (with a sign change), which, in theory, should be the right-hand side of equation (2).
Figure 6. Government financing and selected components, percent of GDP
Figure 7. Real money balances, inflation tax, and seigniorage, percent of GDP
Figure 6 plots the total flow of government financing (left-hand side of equation (2)) and its two most important components for the Peruvian case: foreign debt financing (slashed line) and inflation tax (dotted line). During the stagflation period, the flow of government financing is both higher and more volatile than before and after this period. The volatility is explained in part by (1) real exchange rate volatility, affecting the valuation in soles of foreign debt financing, and (2) the behavior of GDP. During high to hyperinflation, measuring relative prices such as the real exchange rate becomes problematic. The peaks of government financing in 1983 and 1988 correspond to falls in GDP of 11.9 percent and 16.8 percent. (In 1989 GDP further shrinks by 14.7 percent.)
Before the stagflation of 1982—1990, there is a slow buildup in government financing that is broken in 1978 as a reflection of stability measures adopted at the time. All sources of government financing shrink then, except inflation tax which stabilized temporarily. After some respite in the early 1980s, inflation tax continues increasing until the late 1980s. As seen in figure 7, hyperinflation coincides with very high levels of inflation tax, consistent with a monetarist view. After the stagflation, all sources of government financing, including inflation tax, fell sharply, consistent with the view of a regime change away from fiscal dominance around 1990.
Understanding shorter-term fluctuations in the relation between inflation and seigniorage, of course, requires taking into account the role of expectations in the desire of the public to hold real money balances. In the mid-1980s, inflation abates temporarily during the initial phase of the heterodox plan as money balances increase, even though inflation tax is increasing. In the late 1980s, per contra, inflation tax starts falling while hyperinflation ensues, as the public flees the local currency in favor of foreign currency.
Figure 8. Domestic and external debt, percent of GDP
Figure 9. Counterfactual case of constant real exchange rate, percent of GDP
Figure 8 shows that domestic debt is negligible while external debt grows from about 25 percent in 1975 to a peak above 75 percent at the end of the 1980s. As in the case of government financing, short-term fluctuations in external debt as a percentage of GDP in the 1980s are a consequence of movements in the real exchange rate and GDP. The three peaks observed in the solid line correspond to three real exchange devaluation years. The first occurs in 1978 with a real devaluation of 20 percent, preceded by two years of lower devaluations. The second peak occurs in 1985, corresponding to a 29 percent real devaluation. The last peak occurs in 1988 with a 35 percent devaluation.
Isolating the effects of movements in the real exchange rate, public debt grew through the stagflation (figure 9). The country had been in arrears since the early 1980s, explicitly so since 1985, so there was no new foreign credit to the government. As argued in chapter 2, higher debt ratios may hamper the capacity to rely on more debt financing. In a sense, there is a limit to the capacity of the government to rely on external debt; reaching the limit implies ever more reliance on seigniorage, which is the key source of inflation.
We can observe two periods of fiscal effort to reduce the debt ratio: a temporary one in 1978—1982 and a persistent one from 1990 onward, which resulted in a sustainable debt pattern. Public debt with foreign creditors was successfully renegotiated in the 1990s, with considerable help from foreign governments that were eager to ease Peru back into the global financial system after the period of default.5 Given the high debt-to-GDP ratio, in relation to the ability of the government to collect taxes, the renegotiation of the debt appears as the linchpin of the successful stabilization effort. News about the start of the renegotiation contributed to the improvement of credibility of the stabilization program and the abatement of inflation expectations.6
The overall picture of government financing in figure 6 is affected by the existence of transfers that are not fully accounted for in the official data and because of changes in the real exchange rate. Recall that transfers adjust in equation (2) as a residual. Moreover, regarding the debt service, the specific interest rates are not unique because of the various maturities and interest rates implied for each maturity.
Figure 10. Fiscal deficit and government financing, percent of GDP
Figure 11. Imputed transfers and privatization proceeds, percent of GDP
Figure 10 plots the fiscal deficit and the total flow of government financing (left-hand side of equation (2)), and figure 11 the transfers obtained as a residual. During the 1970s and the first half of the 1980s, the fiscal deficit is larger than the flow of government financing. This means that the government is financed from other sources; a key source is the credit of the financial public sector. As mentioned, the central bank would lend to state-owned banks, and these banks would lend to the nonfinancial public sector. In essence, this lending represents domestic debt that has not been properly recorded as such, nor repaid, and therefore acts as a hidden money source of financing. If we had included it in the overall debt position, total debt would have been much higher.
During the second half of the 1980s, per contra, the fiscal deficit is smaller than the flow of government financing. Some of the flow of government financing reflects hidden subsidies by the central bank to imports and to credit transfers that were not properly accounted for as part of fiscal deficit.7
During the 1990s, the fiscal deficit is again larger than the flow of government financing. The adjustment is made by privatization proceeds, as illustrated in figure 11. The sale of state-owned enterprises is considered as a financing item “below the line” that implies less need for debt financing. Another important source of transfers since 1999 is a fiscal stability fund. We have performed a few counterfactuals regarding the level of debt, where transfers are kept at a level of zero, using information about transfers since 1990 (see online appendix A).
The Onset of Inflation
Since independence, Peruvian economic history has been characterized by large export cycles, linked to the boom and bust of the international prices of the raw materials exported by the country. At least until the 1960s, a small group of families, known locally as the oligarquía, owned the most important economic assets, sometimes in association with foreign capital. The oligarchy also held considerable political clout through patronage and influence over the army.8
In consonance with the concentration of wealth and political power, the Peruvian state was kept small. Fiscal revenue came from easy-to-collect taxes, such as import tariffs, fiscal stamps, and profit taxes. Until 1964, taxes were collected and government payments made through privately owned institutions. Official fiscal statistics were done by the Office of the Comptroller General, which provided a monthly balance sheet of central government payments and cash receipts. Financial control over the decentralized agencies and public enterprises was difficult, for there was no standardized accounting.9 Peru also lacked a tradition of government service.10 In the terms of Besley, Ilzetzki, and Persson (2013), Peru was a “weak state,” with a limited power to extract revenues from its citizens on a mass scale.
In spite of the apparent immobilism of Peru’s economy and politics, the country underwent important changes in urbanization and education since the 1930s. The urban population went from 10 percent in 1930 to 47 percent in 1960 (United Nations, 1969). Migration to the capital, Lima, from the highlands and the increase in the literacy rate deeply changed the franchise, since literacy was a requirement for voting. Reformist and radical ideas spread beyond intelectual elites, including to the upper echelons of the military. In 1963 a politician with an explicit reformist program, Fernando Belaúnde, was elected president.
The Belaúnde administration (1963—1968) started an overhaul of public finance institutions, including the centralization of the financial management of the public sector in the newly created Banco de la Nación. The government engaged initially in a massive increase in expenditures for construction (roads and other public works) and outlays for education and health. The efforts of the administration to increase fiscal revenue were thwarted by Congress, where the opposition was in the majority. The result was a “war of attrition” between the branches of government (see, e.g., Alesina and Drazen, 1991; Martinelli and Escorza, 2007). Efforts to attract long-term debt to finance public investment may have been thwarted by a conflict with a foreign oil company, IPC. Lacking any alternative, the expansion of public spending induced the central bank to increase domestic credit. With a regime of fixed exchange rates, inflation in domestic goods and losses in foreign currency reserves followed. A balance of payments crisis à la Krugman (1979) ensued, prompting a sizable exchange rate devaluation in 1967.
Figure 12. Devaluations. Note: Percentage increase in official exchange rate.
The devaluation of 1967 was the first in several years. A once-and-for-all devaluation episode works like a transitory shock on inflation. Given monetary conditions, inflation should have risen and fallen, as indeed was the case. From 1975 onward the exchange rate policy changed. Devaluations became more persistent and timed, as illustrated in figure 12. Exchange rate increases no doubt fueled inflation in the tradable component of prices. An unfortunate consequence may have been the idea that devaluation and not monetary conditions caused inflation; later on, as we discuss, governments would try to curb inflation by fixing exchange rates and dealing with balance of payments difficulties via exchange controls.11
Congress finally relented and approved tax increases in 1968. The evolution of the fiscal deficit during the Belaúnde administration, including the closing of the fiscal gap starting in 1968, is the first cycle in figure 3, and it is one of several such cycles. The economic crisis and frustration regarding unfulfilled promises by Belaúnde (such as land reform and a solution to the vexing conflict with IPC) contributed to a military coup in 1968.
The new military regime, the so-called Revolutionary Government of the Armed Forces (1968—1975), started far-reaching institutional and structural reforms well beyond land redistribution. The role of the public sector in the economy expanded via the nationalization of private firms in oil, fishing, mining, food processing, and manufacturing. The reforms also included incentives to national investors to substitute imports and promote industrialization, and extensive import controls. The ostensible purpose of the reforms was to broaden social and economic development and achieve social justice; indeed, the military dictatorship styled itself a “social democracy with full participation.”12 Though possibly well-meaning, the distortions introduced by extensive intervention13 may help to explain the dramatic fall in productivity in the economy in subsequent years.
During the first few years of the military dictatorship, current revenues remained stable, around 24 percent of GDP, while total expenditures rose from 25 percent of GDP to near 34 percent in 1974. Figures 13 and 14 illustrate the dramatic increase in expenditures and revenues of state-owned firms.14 Behind the increase in expenditures was a major public investment effort, including big mining projects (figure 15). Concurrently, financing of the public projects crowded out credit to the private sector.15 Besides large public investment projects, a source of spending was an arms race between the military rulers of Peru and Chile, illustrated in figure 16. Fiscal expansion was supported with inflationary financing and foreign debt accumulation.
Figure 13. Expenditure of central government and state-owned enterprises, percent of GDP
Figure 14. Revenue of central government and state-owned enterprises, percent of GDP
Figure 15. Capital expenditure of state-owned enterprises, percent of GDP
Figure 16. Military spending, percent of GDP
Unfortunately, prices for Peruvian exports took a plunge, and balance of payments difficulties hit the country in 1974—1975. Central bank reserves dropped, while the regime refused to contemplate a devaluation. A palace coup ensued, starting the so-called Second Phase of the Revolutionary Government of the Armed Forces (1975—1980). The new military junta adopted a stabilization policy with support of the International Monetary Fund, freeing the exchange rate and adopting drastic across-the-board spending cuts, including cuts in funding for ongoing investment projects. The cost of fiscal adjustment contributed to the increasing unpopularity of the government. After calling for elections to a constitutional assembly that was to enshrine the irreversible achievements of the military regime, followed by presidential elections, the military returned to the barracks in 1980.
The evolution of the fiscal deficit during military rule, lumping together both phases of the Revolutionary Government, corresponds to the second cycle in figure 3. In spite of the fiscal effort, inflationary financing remained high during the Second Phase, corresponding to the plateau in the late 1970s in seigniorage in figure 6. Accordingly, inflation remained high, reaching near 67 percent in 1979 and 59 percent in 1980. These were historical records for the country (see table 3).
Supply Shocks, Policy Follies, and Hyperinflation
The elections of 1980 returned to government Fernando Belaúnde, the same politician that the military had deposed in 1968. The second Belaúnde administration (1980—1985) started on a promising note, including recovering favorable international prices. As in the past, Belaúnde’s second administration favored salary increases in the public sector and an increase in spending on some of the old favorite projects, this time financed with new foreign debt (see the uptick in figure 9). From 1982 on, the government was hit by a combination of adverse shocks, including the drying out of foreign finance, worsening interest rates on the extant debt, and an extraordinary negative weather shock, El Niño of 1982—1983. Policy responses included cuts in public investment, an undeclared policy of arrears in debt payments, and recourse to inflationary financing.
The rise and fall of fiscal deficit during Belaúnde’s second administration is visible as the third fiscal cycle in figure 3. Inflation surpassed 100 percent in 1983 for the first time and reached 163 percent in 1985 (see table 3). Though inflation became a concern of policymakers, a widespread view was that inflation was not necessarily a monetary phenomenon and could originate in cost pressure.16
The elections of 1985 installed in the government Alan García. The García administration (1985–1990) embarked on an ambitious policy experiment dubbed as the heterodox experiment, or as Dornbusch and Edwards (1990) put it, an experiment in macroeconomic populism.17 Carbonetto et al. (1987) provide a blueprint for economic policy during the García administration. In their diagnosis, inflation on manufactured goods was a result of cost pressure. For those goods, the supply curve had a negative slope, with ample unused production capacity. A fiscal and monetary expansion, then, at the same time would increase production and reduce prices.
The Emergency Plan of 1985—1986, detailed in table 1, implemented the heterodox policies. The aim was to shut down inflationary expectations via a generalized price control and a freezing of the exchange rate while simultaneously easing credit to increase demand in the economy and achieve redistribution. In parallel, the policy of limiting debt payments contributed to relaxing the external constraint in the economy. The initial effect was a temporary recovery of GDP per capita and a lull in the inflation rate, both visible in figures 1 and 2.18 The initial lull in inflation is consistent with the idea of a cosmetic stabilization in the sense of Sargent, Williams, and Zha (2009), that is, a reset in inflation and beliefs without a reduction in underlying seigniorage.
In fact, the heterodox program increased the need for inflationary financing through several channels. Freezing the prices of state-owned enterprises led to larger deficits of these firms. All exchange flows were controlled by the central bank; after the bank started losing reserves, it increased the exchange rate for exports above the one for imports. This was equivalent to a subsidy to imports, which was monetized. Interest rates to the Agrarian Bank were subsidized; the flow of credit to this bank was important.19
Table 1. Heterodox Peru: August–September 1985.
Fiscal policy |
| Reduction in selective taxes |
| Reduction in sales tax from 11% to 6% |
| Enhanced tax exemptions to selected sectors on sales tax, import tariffs, and other taxes |
| Freeze of public-sector prices and tariffs. In February 1986, reduction in water and electricity tariffs by 20% and in prices of petroleum products by 10% |
| Authorize Treasury bond issues |
Monetary policy |
| Lending rate of commercial banks: gradual reduction from 280% to 40% annual rate |
| Saving rate (one-year deposits): gradual reduction from 107% to 31% |
| Lending rate by Agrarian Bank: |
Regular rate reduced from 116% to 25% |
Zero interest rate for Andean highland farmers |
Exchange rate policy |
| Initial 12% devaluation and subsequent freeze of official rate |
| Later, introduction of multiple exchange rates for exports and finally for imports as well |
Prices |
| Freeze of all prices |
| Later periodic adjustments and liberalization of most agricultural prices |
| Creation of a price authority (CIPA) coordinated by the Ministry of Finance |
Labor |
| Periodic nominal hikes so as to reach a 7% annual increase in real terms. In practice, minimum real wages rose 34% in the seventeen-month period |
| Tax exemption to employees on the share of income tax paid by them |
| Two one-time interest-free loans to civil servants |
| Reduction in probation period from three years to three months; stability laws |
| Establishment of PROEM, allowing firms to hire temporary workers for up to two years without adhering to labor stability laws |
Sources: Lago (1991) and Velarde and Rodríguez (1992a)
Monetizing the fiscal deficit and the losses of the central bank and state-owned enterprises were to have a strong impact on inflation, which rebounded from 1987 on, while international reserves were depleted. As a reaction, the government attempted to nationalize the banking industry, which was blamed for the failure of the program. Doubling down on failed policies seems to have been a version of the “gambling for resurrection” idea portrayed by Majumdar and Mukand (2004). In an extraordinary turn of events, popular resistance made impossible the takeover of the banking industry. The protests against the bank takeover seem to have been a turning point in popular opinion regarding the role of the state in the economy.20
Figure 17 illustrates the behavior of the official exchange rate and the black market exchange rate. The official exchange rate, known as “Mercado Único de Cambios,” was kept frozen until September 1988. Then an attempt to correct the exchange rate lag and lags in other controlled prices led to a 757 percent devaluation as part of a stabilization attempt popularly named “el Salinazo,” after the then minister of finance, Abel Salinas. Successive devaluations reflect an attempt to correct the exchange rate gap. Multiple legal exchange rates other than the one still named Mercado Único de Cambios were introduced, with the central bank determining the appropriate rate for each transaction.
Figure 17. Oficial (Mercado Único de Cambios) versus black market exchange rates
Figure 18. Monthly inflation and the hyperinflation episodes, percent. Note: Peaks in September 1988 and August 1990 correspond, respectively to “el Salinazo” and “el Fuji shock.”
The monthly inflation rate in September 1988 was 114 percent (figure 18). Peru had hit hyperinflation. Monthly inflation rates afterwards hovered in between 23.05 percent and 48.64 percent. In July of 1990, the last month of the García administration, monthly inflation hit 63.23 percent.21 The incoming administration of Alberto Fujimori implemented another large correction of exchange rates and controlled prices in August 1990, popularly named “el Fuji shock.” The monthly inflation rate was 396.98 percent. We look at details of the stabilization of 1990 in the next section. It is instructive to notice, however, that unlike “el Salinazo,” “el Fuji shock” was followed by several weeks of deflation.22 The reaction to the two big adjustments in controlled prices reflects different expectations; from our viewpoint, economic agents (correctly) anticipated a change in regime in 1990.
The conventional definition of hyperinflation is an inflation rate of at least 50 percent in a month. The hyperinflation ends when the monthly inflation falls below 50 percent and stays below that level for at least a year (Cagan, 1956). Using such metric, Peru experienced two hyperinflation episodes, September 1988 and July—August 1990.23 In an environment of controlled prices, with rampant scarcity, black markets, and hoarding in anticipation of official price adjustments, the conventional definition may be inadequate.
It is worth noting that the expenditures and revenue of state-owned enterprises fell through the stagflation years (see figures 13 and 14). State-owned enterprises were shocked on the revenue side by lagging prices, and on the expenditure side, like the remainder of the public sector, by lagging salaries with respect to inflation. Tax revenues fell from about 12.20 percent of GDP in 1986 to 6.5 percent in 1989, as a consequence of the Olivera-Tanzi effect,24 while expenditures fell because of lagging salaries. In a disorderly, painful way, fiscal adjustment started during the García administration, corresponding to the fourth, last fiscal cycle in figure 3. The de facto retreat of the state from the economy during the hyperinflation is vividly described by Webb (1991). Inflationary expectations, however, would not budge until a perceived commitment to a regime change away from fiscal dominance of monetary policy.
Stabilization and its Aftermath
By early 1990, the Peruvian economy and society were in disarray. Besides recession and hyperinflation, the country was hit by violent guerrillas, whose activities included murders, bombings, and blackouts. There was also considerable political uncertainty, with waning support for traditional political parties, after the perceived failures of Belaúnde and García.
An unknown outsider, Alberto Fujimori, won the presidential runoff elections in June 1990. The Fujimori administration came to power without a coherent team of advisers, a program for governing, or any indication of who would hold the key positions in the government. In terms of the economic policy debate, two distinct sides emerged in the run-up to Fujimori’s inauguration and the implementation of the economic program: one side favored an exchange rate-based stabilization program, while the other leaned toward a money-based program.
The monetary approach was not popular because it was associated with a deeper recession; the Bolivian 1985 stabilization, in particular, was a fresh case. Stabilization efforts in the early 1980s in the United States and the United Kingdom had relied on reducing the growth of the monetary base to fight relatively high levels of inflation for those countries, but these efforts were considered to have been costly. A hard exchange rate anchor, however, was hard to conceive given the demolition of government credibility during the preceding administration. There was also the perception that the correct exchange rate was hard to determine administratively, given the grave distortions during the previous years, so it was better to leave flexibility to the market. Without credibility and without reserves, the camp favoring a monetary-based stabilization, without any commitment to a particular number, predominated.
Table 2. Main Stabilization Policy Measures: August 1990.
Exchange rate policy |
| Onetime exchange rate devaluation to a sufficiently high level |
| Since then, managed floating exchange rate regime |
| System of multiple exchange rates was unified |
| Most import restrictions were removed |
| The minimum tariff was set to 10% and the maximum to 50% |
Monetary policy |
| A monetary anchor based on the control of the growth of base money, implemented through a yearly monetary program |
| A reduction in banking reserve requirements to alleviate financial repression; the marginal rate was reduced from 80% to 64% |
| Foreign currency deposits in domestic banks continued to be allowed |
| Interest rates for assets and liabilities in the banking system were allowed to be market determined |
Fiscal policy |
| A set of fiscal austerity measures, including a ban on new procurement processes |
| Increases in regulated utility prices, controlled by state-owned enterprises: gasoline (3040%), electricity (5270%), water (1318%), and others |
| Creation of the Budget Committee (Central Bank, Finance Ministry, and Revenue Authority) to ease the monetary control process |
| Removal of exemptions to VAT, excise taxes, and tariffs |
Wages |
| Exceptional 100% bonus |
| Minimum wage was increased by 400% |
| Ban on new wage increases in the public sector until December |
Source: Velarde and Rodríguez (1992b).
In August 1990, the long-waited stabilization program was announced via a national television broadcast. The dramatic closing line of the announcement, capturing the feeling of uncertainty about the results, was Que Dios nos ayude (May God help us). Key stabilization policies are detailed in table 2. In contrast to other stabilization programs implemented in the region, the Peruvian program used a monetary anchor with an administered exchange rate. On the real side, the stabilization program took place along a drastic structural reform agenda aimed at deregulating markets and reducing the direct economic activity of the state. As a result, price controls were removed, along with subsidies and caps on interest rates. The capital market was liberalized, and the exchange market was unified.25
The stabilization program relied on two pillars. The first pillar was a strong commitment to cut inflationary fiscal financing. The government committed to not asking for any financing from the central bank, except for an emergency loan to cover the initial salary increases, which was repaid to the central bank in thirty days, as promised (Velarde and Rodríguez, 1992a). Later, the Central Bank Organic Law of 1993 explicitly ruled out government financing by the central bank. The second pillar was a market-friendly approach to policy that translated into freeing the exchange market after eliminating segmented (multiple) exchange rates, a reduction in tax and tariff dispersion, and the privatization of state-owned enterprises.
A new constitution, adopted in 1993, provided the institutional scaffolding for the change in policy regime. In the constitutional design, the budget sent by the executive branch to Congress has to be balanced. Loans from the central bank or from Banco de la Nación do not count as revenue, and new debt cannot cover current fiscal expenditures. Congress has no initiative to create or increase public spending, nor to pass taxes for predetermined purposes without a favorable report from the Treasury, and moreover the budget elaborated by the executive branch is enacted if Congress cannot pass the budget law in time. Autonomy of the central bank is asserted. The new constitution outlawed the use of social security surpluses for fiscal purposes and generally established that the state has only a subsidiary role in the economy.
The fast decline of inflation tax in the early 1990s is visible in figures 6 and 7. A first phase of fiscal reforms included the measures outlined in table 2, which were later accompanied by the modernization of the tax revenue authority and by successful external debt renegotiations. A second phase of reforms included the Law of Fiscal Prudence and Transparency of 1999. This law was intended to foster fiscal countercyclicality by allowing the government to accumulate buffers (for example, the Fiscal Stability Fund to be used in emergency cases) to smooth economic cycles.
A year after the “Fuji shock,” the monthly inflation rate was near 10 percent (figure 19). In fact, the economy took five years to return to yearly inflation levels near 10 percent, even though the administration kept the promises of fiscal moderation and independence of the central bank. Why such a slow decline in inflation? We provide five plausible, complementary reasons next.
First, there was at the time considerable uncertainty about the commitment of the government to abandoning the fiscal dominance of the monetary policy. Fujimori had campaigned on the promise of not engaging in the sort of policies his administration promptly adopted. It was also unclear that Congress would go along with the stabilization effort. In 1992, Fujimori disbanded Congress and assumed legislative and judicial powers. The constitution of 1993, underpinning the change in policy regime, was approved by referendum, after the self-coup.26 One may wonder whether policy reform, though increasingly popular, could have been processed without a breakdown in democratic normalcy.
Second, the intertemporal budget constraint that the government faced was unclear. Returning to normal relations with the international financial markets required dealing with the debt burden. Uncertainty about the terms of service of the public debt cast a shadow on the commitment of the government to not return to inflationary financing. News about debt renegotiation lowered inflation expectations the second semester of 1991.27 A key for stabilization, then, was the successful renegotiation of the public debt with foreign creditors.
Third, and turning our attention to monetary policy, implementing a money-based stabilization was difficult given the uncertainty about the velocity of circulation of money. To get an idea of this problem, take Fisher’s equation of exchange. In log terms, we have , where mt is the stock of money, vt is the velocity of circulation, pt is the price level, and yt is real GDP. If real GDP growth is unrelated to monetary policy, we have
. (3)
The implementation of the monetary program relied on assuming a certain GDP growth rate for the planning year, a given velocity of money (implying ), and an intended value for the inflation rate at the end of the planning year. The central bank could determine the growth of money compatible with the intended inflation target according to equation (3). The planned trajectory of the money growth rate became the intermediate target to achieve the desired inflation outcome. During the mid-1990s, the velocity of money became ever more unstable. In fact, the central bank did not publicly commit to any given money growth rate. The lack of clear targets may have hindered the building of credibility. Since 1994, the central bank started making annual inflation predictions, so to some extent, monetary policy had an implicit element of inflation-targeting.
Fourth, the central bank did not initially have the instruments needed to conduct an independent monetary policy. The purchase of US dollars had to serve conflicting objectives: recovering the level of foreign currency reserves, managing the floating exchange rate regime, and serving as means of monetary control. In the absence of a government bonds market, the central bank issued certificates of deposits (CDs), whose placement and repurchase served to implement the desired growth rate of money via open market operations. Monetary policy involved a delicate maneuvering between open market operations, the management of the administered exchange rate regime, and the consistency of the monetary program. To observers such as Mishkin and Savastano (2001), the monetary policy process was opaque, which made it difficult to signal intentions to the public.
Fifth, the high degree of dollarization of the economy as a result of the years of high inflation did not reverse during the stabilization. As pointed out by Kiguel and Liviatan (1995), the fact that money demand did not recover after hyperinflation left the economy vulnerable to a steep resumption of inflation if the government were to resort to inflationary taxation again, which may have weighed on inflation expectations. In the long run, however, dollarization may have discouraged politicians from inflationary taxation, precisely because relapsing would have been so costly.28
Figure 19. Monthly inflation during stabilization: Argentina, Ecuador, and Peru, percent. Note: The horizontal axis measures the number of months after the month the stabilization program takes place. In Argentina the convertibility plan started in April 1991, in Ecuador full dollarization started in January 2000, and in Peru stabilization started in August 1990.
The Peruvian stabilization program did not work as fast as those programs based on hard exchange rate pegs, such as Argentinean convertibility or the Ecuadorian full dollarization program. Figure 19 depicts monthly inflation rates following the month of stabilization in the three countries. Inflation fell faster in Argentina and Ecuador than in Peru; convergence of inflation rates seemingly took four years. Though much harder to manage than a hard exchange rate peg, the monetary program would prove to be more resilient in the face of financial crisis originated abroad. Peru avoided currency crises of the sort that afflicted Argentina, which opted contemporaneously for a hard peg without full dollarization.
The global emerging market crisis of 1997 and 1998 prompted an outflow of US dollars from emerging markets in general, and Peru was affected in turn. The monetary policy strategy and the instruments under disposal were not prepared for this shock. The result was a credit crunch with important consequences on the real side. As a result of the recession, inflation fell to about 0 percent by 2001. In fact, the monthly inflation rate was negative during some months in 2001. The time was ripe for a switch to a different monetary policy strategy.
Until 2001, monetary policy had been aimed at reducing inflation for a decade. By then it seemed necessary for the central bank to avoid the risk of deflation by means of an expansionary monetary policy. The policy problem involved doing so without jeopardizing the painfully built anti-inflationary credibility. It was believed that inflation-targeting provided the discipline the monetary authority needed at that moment. The Peruvian experience is unique in that inflation-targeting was adopted to move inflation from below. Other experiences, especially in emerging market economies, featured inflation-targeting adoption to complete the convergence of relatively high inflation toward lower inflation levels.
As can be seen in figure 1, the pace of GDP growth has been remarkably stable, featuring an average of 5 percent since the turn of the millennium. Although good external conditions are doubtless related to the GDP growth performance, it is hard to believe that the macroeconomic stability reforms and the liberalization of the economy implemented during the 1990s did not also play an important role.
Relatively free elections did not occur until the end of Fujimori’s government in 2000. Yet, democratically elected administrations from 2001 on have kept away from inflationary financing. Remarkably, for instance, Peru issued twenty-, thirty-, and thirty-two-year local currency bonds for the first time ever during a second García administration, headed by the same politician whose previous administration led the country to become a pariah in international financial markets.29 As an explanation, the sustainability of the policy regime change may be linked to (1) the popular support for macroeconomic stability because of the traumatic effects of the hyperstagflation of the 1980s, and also because of the good growth performance of the country after the stabilization; (2) the constitutional design, which has given autonomy to the central bank and has increased political accountability in giving key budgetary responsibility to the Ministerio de Economía y Finanzas (the Treasury); and (3) the presence of competent administrators not only in the central bank but also in the executive branch.30 These are significant departures from the experience of the country in the 1960s.
Concluding Remarks
Peruvian recent economic history is marked by an ambitious attempt to refashion the economy of the country through command-and-control policies adopted by a left-wing military dictatorship from 1968 to 1975. After the military returned to the barracks, they left as a legacy an expansive state, precariously financed through debt accumulation and inflation tax. The hyperinflation of the second half of the 1980s occurred in the midst of another radical policy experiment. The policies adopted by the populist administration then in office, such as pervasive price and exchange controls, were counterproductive by and large. These policies also made it hard or even impossible for the following administration to rely on a exchange rate peg to anchor expectations as part of the stabilization policies.
Looking back, it is hard to miss the fundamental mistrust in market allocations by economic and political actors in the run-up to hyperinflation.31 Mistrust was compounded by wishful thinking by government authorities, in particular during the episodes of 1968—1975 and 1985—1990. Remarkably, a radical policy gamble attempted in the latter experiment was stopped by popular protest. In a way, society learned faster than the political elites, and the popular rejection of arbitrary government intervention in the economy preceded the stabilization of 1990.
The stabilization of 1990 was preceded by other attempts that looked ex ante similar. The question arises as to why this particular attempt was successful, leading to a persistent change in policy regime. Moreover, why did the same, or very similar, politicians behave more responsibly in fiscal and monetary matters after stabilization? The recent history suggests a process of social learning. From this viewpoint, the credibility of policy regime change in the 1990s may be linked ultimately to the change in public opinion giving proper incentives to politicians. Both the respect for central bank independence and the rejection of fiscal imprudence, which are currently characteristic features of Peru’s economics and politics, can be traced back to some extent to the effect of the traumatic events of the 1980s. Borrowing the phrase of Malmendier and Nagel (2011), those who lived through those events are “hyperinflation babies.”
In two previous occasions, in 1968 and 1992, disputes between the executive and legislative branches of government, motivated partly by conflicting views about policy and partly by political rancor, have led to the breakdown of democracy. The constitutional arrangement of 1993, with its checks on the spending ability of Congress and the delegation of monetary policy to an autonomous central bank, the popular support for fiscal prudence, and the presence of at least some competent administrators in the economic ministries, have isolated macroeconomic policies from the fractious and often bitter nature of democratic politics in the country in the last two decades. If political infighting erodes the institutional setup for arbitrating disputes between the branches of government, it may end up endangering the country’s hard-won macroeconomic stability.
Table 3. Headline Yearly Inflation, 1901–2017
Year | Rate | Year | Rate | Year | Rate |
| 1901 | 7.7 | 1940 | 8.2 | 1979 | 67.7 |
| 1902 | -19.0 | 1941 | 8.4 | 1980 | 58.5 |
| 1903 | 13.2 | 1942 | 12.4 | 1981 | 75.4 |
| 1904 | 3.9 | 1943 | 9.0 | 1982 | 64.5 |
| 1905 | 31.3 | 1944 | 14.6 | 1983 | 111.2 |
| 1906 | 1.0 | 1945 | 11.6 | 1984 | 110.2 |
| 1907 | 1.9 | 1946 | 9.4 | 1985 | 163.4 |
| 1908 | 4.6 | 1947 | 29.4 | 1986 | 77.9 |
| 1909 | -14.2 | 1948 | 30.8 | 1987 | 85.9 |
| 1910 | -2.1 | 1949 | 14.7 | 1988 | 667.0 |
| 1911 | 3.2 | 1950 | 12.1 | 1989 | 3398.6 |
| 1912 | -9.2 | 1951 | 10.1 | 1990 | 7481.7 |
| 1913 | 12.4 | 1952 | 6.9 | 1991 | 409.5 |
| 1914 | 4.0 | 1953 | 9.1 | 1992 | 73.5 |
| 1915 | 7.7 | 1954 | 5.3 | 1993 | 48.6 |
| 1916 | 9.8 | 1955 | 4.7 | 1994 | 23.7 |
| 1917 | 15.4 | 1956 | 5.5 | 1995 | 11.1 |
| 1918 | 15.5 | 1957 | 7.4 | 1996 | 11.5 |
| 1919 | 14.6 | 1958 | 7.9 | 1997 | 8.5 |
| 1920 | 11.7 | 1959 | 12.7 | 1998 | 7.3 |
| 1921 | -5.2 | 1960 | 8.7 | 1999 | 3.5 |
| 1922 | -4.5 | 1961 | 6.1 | 2000 | 3.8 |
| 1923 | -5.3 | 1962 | 6.7 | 2001 | 2.0 |
| 1924 | 3.9 | 1963 | 6.0 | 2002 | 0.2 |
| 1925 | 7.0 | 1964 | 9.8 | 2003 | 2.3 |
| 1926 | 0.5 | 1965 | 16.3 | 2004 | 3.7 |
| 1927 | -3.5 | 1966 | 8.9 | 2005 | 1.6 |
| 1928 | -6.7 | 1967 | 9.9 | 2006 | 2.0 |
| 1929 | -2.2 | 1968 | 19.2 | 2007 | 1.8 |
| 1930 | -4.5 | 1969 | 6.3 | 2008 | 5.8 |
| 1931 | -6.5 | 1970 | 4.9 | 2009 | 2.9 |
| 1932 | -4.4 | 1971 | 6.8 | 2010 | 1.5 |
| 1933 | -2.6 | 1972 | 7.1 | 2011 | 3.4 |
| 1934 | 2.0 | 1973 | 9.5 | 2012 | 3.7 |
| 1935 | 1.3 | 1974 | 16.9 | 2013 | 2.8 |
| 1936 | 5.3 | 1975 | 23.5 | 2014 | 3.2 |
| 1937 | 6.3 | 1976 | 33.6 | 2015 | 3.5 |
| 1938 | 1.2 | 1977 | 38.0 | 2016 | 3.6 |
| 1939 | -1.2 | 1978 | 58.1 | 2017 | 2.8 |
Note: 1901–1949: Consumer price index collected by the Ministry of Finance and Commerce. 1950–2017: Lima consumer price index collected by the national statistics agency (INEI).
Source: Banco Central de Reserva del Perú,
Table 4. Monthly Inflation, 1987–1994
Month | Rate | Month | Rate | Month | Rate | Month | Rate |
| Jan-87 | 6.57 | Jan-89 | 47.32 | Jan-91 | 17.83 | Jan-93 | 4.85 |
| Feb-87 | 5.59 | Feb-89 | 42.49 | Feb-91 | 9.42 | Feb-93 | 2.93 |
| Mar-87 | 5.34 | Mar-89 | 41.99 | Mar-91 | 7.70 | Mar-93 | 4.24 |
| Apr-87 | 6.59 | Apr-89 | 48.64 | Apr-91 | 5.84 | Apr-93 | 4.43 |
| May-87 | 5.91 | May-89 | 28.61 | May-91 | 7.64 | May-93 | 3.03 |
| Jun-87 | 4.69 | Jun-89 | 23.05 | Jun-91 | 9.26 | Jun-93 | 1.82 |
| Jul-87 | 7.31 | Jul-89 | 24.58 | Jul-91 | 9.06 | Jul-93 | 2.74 |
| Aug-87 | 7.36 | Aug-89 | 25.06 | Aug-91 | 7.24 | Aug-93 | 2.53 |
| Sep-87 | 6.47 | Sep-89 | 26.86 | Sep-91 | 5.56 | Sep-93 | 1.62 |
| Oct-87 | 6.37 | Oct-89 | 23.25 | Oct-91 | 3.95 | Oct-93 | 1.51 |
| Nov-87 | 7.13 | Nov-89 | 25.84 | Nov-91 | 3.96 | Nov-93 | 1.60 |
| Dec-87 | 9.55 | Dec-89 | 33.75 | Dec-91 | 3.74 | Dec-93 | 2.51 |
| Jan-88 | 12.77 | Jan-90 | 29.85 | Jan-92 | 3.54 | Jan-94 | 1.84 |
| Feb-88 | 11.83 | Feb-90 | 30.53 | Feb-92 | 4.74 | Feb-94 | 1.82 |
| Mar-88 | 22.60 | Mar-90 | 32.65 | Mar-92 | 7.44 | Mar-94 | 2.32 |
| Apr-88 | 17.92 | Apr-90 | 37.30 | Apr-92 | 3.17 | Apr-94 | 1.54 |
| May-88 | 8.51 | May-90 | 32.79 | May-92 | 3.44 | May-94 | 0.72 |
| Jun-88 | 8.81 | Jun-90 | 42.58 | Jun-92 | 3.59 | Jun-94 | 1.14 |
| Jul-88 | 30.90 | Jul-90 | 63.23 | Jul-92 | 3.48 | Jul-94 | 0.89 |
| Aug-88 | 21.71 | Aug-90 | 396.98 | Aug-92 | 2.83 | Aug-94 | 1.53 |
| Sep-88 | 114.12 | Sep-90 | 13.77 | Sep-92 | 2.62 | Sep-94 | 0.52 |
| Oct-88 | 40.60 | Oct-90 | 9.62 | Oct-92 | 3.64 | Oct-94 | 0.29 |
| Nov-88 | 24.41 | Nov-90 | 5.93 | Nov-92 | 3.54 | Nov-94 | 1.22 |
| Dec-88 | 41.87 | Dec-90 | 23.73 | Dec-92 | 3.85 | Dec-94 | 0.59 |
Note: Lima consumer price index collected by the national statistics agency (INEI).
Source: BCRPData, Banco Central de Reserva del Perú, Gerencia Central de Estudios Económicos,
Notes
We are grateful to Paola Villa and María Alejandra Barrientos for excellent research assistance. The authors alone are responsible for the views expressed herein.
1. The capital stock is from Seminario (2015 other data come from the Total Economy Database (see online appendix available at http://manifold.bfi.uchicago.edu/).
2. Mendoza (2013) and Dancourt, Mendoza, and Vilcapoma (1997) put emphasis on bad external conditions, while Hamann and Paredes (1991) and Lago (1991) put emphasis on policy mistakes. Gonzales de Olarte and Samamé (1991) and Wise (2003) attribute some of the blame for the poor performance to wide swings in economic policies.
3. No reliable data are available prior to the 1980s about public debt issued at a constant real interest rate. Since 2002 the government has issued inflation-adjusted sovereign bonds, but its stock has never been above 1 percent of GDP.
4. The usual statistical methodology, however, treats privatization proceeds as financing.
5. See Abusada (2000).
6. See Velarde and Rodríguez (1992b).
7. This is the quasi-fiscal deficit referred to in section 5.
8. Thorp and Bertram (1978) and Bourricaud (2017) are classic references for the economic history of the country and for a social and political portrait of the country in the 1960s.
9. This has made it difficult to extend backwards our fiscal statistics.
10. See, for example, Kuczynski (1977).
11. Kuczynski (1977) provides an insightful insider look at the Belaúnde administration. According to Kuczynski, some officials in the Belaúnde administration perceived inflation as an inevitable collateral effect of development and not necessarily an evil. This corresponds to the Latin American “structuralist”; view on inflation at the time. In that vein, Baer (1967) predicts that “runaway inflation”; will not happen in the region.
12. The contributions to McClintock and Lowenthal (1976) provide an in-depth look at the military regime.
13. Documented by Schydlowsky and Wicht (1979) and others.
14. In the accounts of Peru’s central bank, the nonfinancial public sector is equal to the general government plus state-owned enterprises; general government is equal to central plus local governments.
15. See, for example, Rivera (1979) and Pastor (2012).
16. In 1982, for instance, the central bank president, an accomplished economist on his own, would write that stopping inflation necessitated a voluntary agreement between workers, business, and government, and would quote approvingly that monetarism is a theology, and central banks are not theology schools (Webb, 1985).
17. Heterodox policies have been studied by Lago (1991), Cáceres and Paredes (1991), Hnyilicza (2001), and Velarde and Rodríguez (1992a), among others.
18. Dornbusch and Edwards (1990) note a similar phase of initial success in other macroeconomic populist episodes in the region.
19. Choy and Dancuart (1990) calculate that the quasi-fiscal deficit, comprising import subsidies via the exchange rate differential by the central bank and credit subsidies by the Agrarian Bank, was 3.4 percent in 1986, 4.9 percent in 1987, 6.6 percent in 1988, and 2.7 percent in 1989.
20. The Peruvian writer Vargas Llosa (1993) provides a first-person account as one of the protagonists of the protest.
21. See the corresponding yearly and monthly inflation rates in tables 3 and 4.
22. See Velarde and Rodríguez (1992a). Deflation was over before the end of September, so it is not captured by the monthly rates in table 4.
23. Hanke and Krus (2013) rank them as twelfth and thirty-seventh among fifty-three hyperinflation episodes in the world.
24. The Olivera-Tanzi effect is the well-known decline of tax collection in real terms during high inflation episodes due to the fact that taxes are collected with a lag with respect to the economic activity taxed.
25. Accounts of the stabilization and monetary policy afterwards include Terrones and Nagamine (1993), Kiguel and Liviatan (1995), Ishisaka (1997), Guevara (1999), Pasco-Font (2000), Velarde and Rodríguez (1992b), Rodríguez, Valderrama, and Velarde (2000), Mishkin and Savastano (2001), and Hnyilicza (2001).
26. Fujimori’s autogolpe of April 1992 was supported by the military and had some popular approval. The avowed aim of it was to give free rein to the executive branch in the stabilization effort and to implement more drastic measures in the fight against violent guerrillas.
27. Rodríguez, Valderrama, and Velarde (2000).
28. Pointedly, the constitution of 1993 enshrines the right of Peruvian citizens to hold foreign currency.
29. “Emerging-Market Debt: A Run for Your Money,”; The Economist, August 26, 2010.
30. As an illustration, the key cabinet position of Ministro de Economía (formerly Ministro de Hacienda) was occupied in the 1960s by professional politicians, lawyers, and generals, and from the 2000s to the present mostly by professional and academic economists.
31. See, for example, Sheahan (1999).
References
R. Abusada. La reincorporación del Perú a la comunidad financiera internacional. In R. Abusada, F. Du Bois, E. Morún, and J. Valderrama, editors, La reforma incompleta: rescatando los noventa. Universidad del Pacífico and Instituto Peruano de Economía, Lima, Peru, 2000.
M. Aguiar and G. Gopinath. Emerging Market Business Cycles: The Cycle is the Trend. Journal of Political Economy, 115(1):69—102, 2007.
A. Alesina and A. Drazen. Why Are Stabilizations Delayed? American Economic Review, 81 (5):1170—1188, 1991.
W. Baer. The Inflation Controversy in Latin America: A Survey. Latin American Research Review, 2(2):3—25, 1967.
T. Besley, E. Ilzetzki, and T. Persson. Weak States and Steady States: The Dynamics of Fiscal Capacity. American Economic Journal: Macroeconomics, 5(4):205—235, 2013.
F. Bourricaud. Poder y sociedad en el Perú contempomráneo. 3rd ed. Instituto de Estudios Peruanos, Lima, Peru, 2017.
A. Cáceres and C. E. Paredes. The Management of Economic Policy, 1985–1989. In C. E. Paredes and J. Sachs, editors, Peru’s Path to Recovery: A Plan for Economic Stabilization and Growth. The Brookings Institution, Washington, DC, 1991.
P. Cagan. The Monetary Dynamics of Hyperinflation. In M. Friedman, editor, Studies in the Quantity Theory of Money. University of Chicago Press, Chicago, 1956.
D. Carbonetto, M. I. C. de Ceballos, O. Dancourt, C. Ferrari, D. Martínez, J. Mezzera, G. Saberbein, J. Tantaleán, and P. Vigier. El Perú heterodoxo: Un modelo económico. Instituto Nacional de Planificación, Lima, Peru, 1987.
P. Castillo and Y. Rojas. Terms of Trade and Total Factor Productivity: Empirical Evidence from Latin American Emerging Markets. 2014. Working Paper 2014–012, Central Bank of Peru.
M. Choy and A. Dancuart. Una aproximación al déficit cuasi-fiscal en el Perú. Sede de la CEPAL en Santiago (Estudios e Investigaciones) 33548, Comisión Económica de las Naciones Unidas para América Latina y el Caribe (CEPAL)., 1990.
O. Dancourt, W. Mendoza, and L. Vilcapoma. Fluctuaciones económicas y shocks externos, Perú 1950—96. Revista Economía (Pontificia Universidad Católica del Perú), 20(39—40):63—102, 1997.
R. Dornbusch and S. Edwards. Macroeconomic Populism. Journal of Development Economics, 32(2):247—277, 1990.
E. Gonzales de Olarte and L. Samamé. Péndulo peruano: políticas económicas, gobernabilidad y subdesarrollo, 1963–1990. Instituto de Estudios Peruanos, Lima, Peru, 1991.
C. A. Goodhart. The Changing Role of Central Banks. Financial History Review, 18(2):135—154, 2011.
G. Guevara. Política monetaria del Banco Central: Una perspectiva histórica. Revista Estudios Económicos, Banco Central de Reserva del Perú, 5:24—72, 1999.
A. J. Hamann and C. E. Paredes. Economic Characteristics and Trends. In C. E. Paredes and J. Sachs, editors, Peru’s Path to Recovery: A Plan for Economic Stabilization and Growth. The Brookings Institution, Washington, DC, 1991.
S. H. Hanke and N. E. Krus. World Hyperinflations. In R. E. Parker and R. Whaples, editors, The Handbook of Major Events in Economic History. Routledge Publishing, London, 2013.
R. Hausmann and U. Panizza. On the Determinants of Original Sin: An Empirical Investigation. Journal of International Money and Finance, 22(7):957—990, 2003.
E. Hnyilicza. De la megainflación a la estabilidad monetaria: política monetaria y cambiaría, Perú, 1990–2000. Banco Central de Reserva del Perú, Fondo Editorial, Lima, Peru, 2001.
S. Ishisaka. Política monetaria y desarrollo del mercado secundario de Certificados de Depósitos del Banco Central de Reserva del Perú: 1995—1996. Revista Estudios Económicos, Banco Central de Reserva del Perú, 1:51—72, 1997.
T. J. Kehoe and E. C. Prescott, editors. Great Depressions of the Twentieth Century. Federal Reserve Bank of Minneapolis, Minneapolis, 2007.
M. A. Kiguel and N. Liviatan. Stopping Three Big Inflations: Argentina, Brazil, and Peru. In R. Dornbusch and S. Edwards, editors, Reform, Recovery, and Growth: Latin America and the Middle East, pages 369—414. University of Chicago Press, Chicago, 1995.
P. Krugman. A Model of Balance-of-Payments Crises. Journal of Money, Credit and Banking, 11(3):311—325, 1979.
P.-P. Kuczynski. Peruvian Democracy under Economic Stress: An Account of the Belaunde Administration, 1963–1968. Princeton University Press, Princeton, NJ, 1977.
R. Lago. The Illusion of Pursuing Redistribution through Macropolicy: Peru’s Heterodox Experience, 1985–1990. In R. Dornbusch and S. Edwards, editors, The Macroeconomics of Populism in Latin America. University of Chicago Press, Chicago, 1991.
L. G. Llosa and U. Panizza. La gran depresión de la economía peruana: ¿una tormenta perfecta? Revista Estudios Económicos, Banco Central de Reserva del Perú, 30:91—117, 2015.
S. Majumdar and S. W. Mukand. Policy Gambles. American Economic Review, 94(4):1207—1222, 2004.
U. Malmendier and S. Nagel. Depression Babies: Do Macroeconomic Experiences Affect Risk Taking? Quarterly Journal of Economics, 126(1):373—416, 2011.
C. Martinelli and R. Escorza. When Are Stabilizations Delayed? Alesina-Drazen Revisited. European Economic Review, 51(5):1223—1245, 2007.
C. McClintock and A. F. Lowenthal, editors. The Peruvian Experiment Reconsidered. Princeton University Press, Princeton, NJ, 1976.
W. Mendoza. Contexto internacional y desempeño macroeconómico en América Latina y el Perú: 1980—2012. Documento de Trabajo No. 351, Departamento de Economía-Pontificia Universidad Católica del Perú, 2013.
F. S. Mishkin and M. A. Savastano. Monetary Policy Strategies for Latin America. Journal of Development Economics, 66(2):415—444, 2001.
A. Pasco-Font. Políticas de estabilización y reformas estructurales: Perú. Cepal Serie Reformas Económicas No. 66, 2000.
G. C. Pastor. Peru: Monetary and Exchange Rate Policies, 1930—1980. Working Paper 12/166, International Monetary Fund, 2012.
D. Restuccia. Factor Misallocation and Development. In S. N. Durlauf and L. E. Blume, editors, The New Palgrave Dictionary of Economics, Online Edition. Palgrave Macmillan, London, 2013.
I. Rivera. La crisis económica peruana: génesis, evolución y perspectivas. Revista Economía (Pontificia Universidad Católica del Perú), 2(3):117—146, 1979.
M. Rodríguez, J. Valderrama, and J. Velarde. El programa de estabilización. In R. Abusada, F. Du Bois, E. Morón, and J. Valderrama, editors, La reforma incompleta: rescatando los noventa. Universidad del Pacífico and Instituto Peruano de Economía, Lima, Peru, 2000.
T. J. Sargent, N. Williams, and T. Zha. The Conquest of South American Inflation. Journal of Political Economy, 117(2):211—256, 2009. ISSN 00223808, 1537534X.
D. M. Schydlowsky and J. J. Wicht. The Anatomy of an Economic Failure: Peru 1968—78. Center for Latin American Development Studies, Boston University, Boston, MA, 1979.
B. Seminario. Breve historia de los precios, población y actividad económica del Perú: reconstrucción de las cuentas nacionales, 1700—2013. Universidad del Pacífico, Lima, Peru, 2015.
J. Sheahan. Searching for a Better Society: The Peruvian Economy From 1950. Pennsylvania State University, University Park, 1999.
M. E. Terrones and J. Nagamine. Reorientación de la política monetaria en el Perú: avances y problemas. Notas para el debate (GRADE), 11:9—42, 1993.
R. Thorp and G. Bertram. Peru, 1890—1977: Growth and Policy in an Open Economy. Columbia University Press, New York, 1978.
M. Tommasi. On High Inflation and the Allocation of Resources. Journal of Monetary Economics, 44(3):401—421, 1999.
United Nations. Growth of the World’s Urban and Rural Population, 1920—2000. United Nations Department of Economic and Social Affairs, New York, 1969.
M. Vargas Llosa. El pez en el agua. Editorial Seix Barral, S. A., Barcelona, Spain, 1993.
J. Velarde and M. Rodríguez. De la desinflación a la hiperestanflación, Perú: 1985–1990. Documento de Trabajo No. 5, Universidad del Pacífico, 1992a.
J. Velarde and M. Rodríguez. El programa económico de agosto de 1990: evaluación del primer año. Documento de Trabajo No. 2, Universidad del Pacífico, 1992b.
R. Webb. Por qué soy optimista. Ediciones Virrey, Lima, Peru, 1985.
R. Webb. Prologue to Peru’s Path to Recovery: A Plan for Economic Stabilization and Growth, edited by Carlos E. Paredes and Jeffrey D. Sachs. Brookings Institution, Washington, DC, 1991.
C. Wise. Reinventing the State: Economic Strategy and Institutional Change in Peru. University of Michigan Press, Ann Arbor, 2003.